Selectividad Andalucía 2019 Junio A1
Considera la función f definida por
para ![]()
– a) Estudia y halla las asíntotas de la gráfica de f.
– b) Determina los intervalos de crecimiento y decrecimiento de f.
SOLUCIÓN
para ![]()
Asíntotas VERTICALES
En las funciones racionales buscamos las asíntotas verticales en los números que anulan el denominador.
![]()

Indeterminación que se resuelve tomando límites laterales
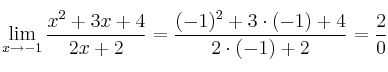
Este tipo de límites tienden a infinito por lo que tenemos una asíntota vertical en

El enunciado nos pide, además de calcular las asíntotas, que las estudiemos por lo que debemos estudiar el comportamiento de la función respecto a la asíntota

(basta con sustituir x por números cercanos a -1 por la izquierda , por ejemplo -1.001)

(basta con sustituir x por números cercanos a -1 por la izquierda , por ejemplo -0.999)
Asíntotas HORIZONTALES

Como se obtiene un infinito (grado numerador > grado denominador) no hay asíntotas horizontales.
Asíntotas OBLICUAS
Al no haber asíntotas horizontales, puede haber asíntota oblicua.
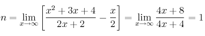
La asíntota oblicua de una función
es una recta de ecuación
, donde m y n vienen dadas por las expresiones siguientes:
![]()

![n = \lim\limits_{x \rightarrow \infty} \left[\frac{x^2+3x+4}{2x+2} -\frac{x}{2} \right] = \lim\limits_{x \rightarrow \infty} \frac{4x+8}{4x+4}=1 n = \lim\limits_{x \rightarrow \infty} \left[\frac{x^2+3x+4}{2x+2} -\frac{x}{2} \right] = \lim\limits_{x \rightarrow \infty} \frac{4x+8}{4x+4}=1](local/cache-TeX/d3a490093aed930f48da0b4b8a7cce9b.png)
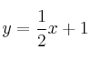
Por tanto la asíntota oblicua es:

Posición de la función respecto de la asíntota oblicua
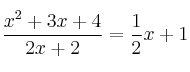
Primero calculamos los posibles puntos de corte (para saber si la función corta a la asíntota)

Resolvemos la ecuación y vemos que no tiene soluciones, por tanto la función no corta a la asíntota.
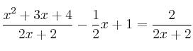
Ahora estudiamos el signo de (función - asíntota). Cuando sea positivo la función estará por encima y cuando sea negativo estará por debajo.

(he omitido los cálculos para no hacerlo muy extenso)
El signo de
será positivo cuando
y negativo cuando ![]()
Por tanto será positivo cuando
y negativo cuando ![]()
– Cuando
la función estará por encima de la asíntota
– Cuando
la función estará por debajo de la asíntota
La función sería de la forma:
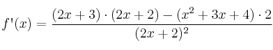
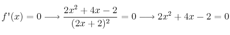
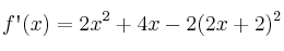
b) Para estudiar la monotonía de la función debemos resolver la ecuación ![]()


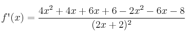
![]()

Resolvemos la ecuación de segundo grado y obtenemos como soluciones:

Esas soluciones y el punto (x=-1) donde no hay función nos dividen la recta real en varios intervalos

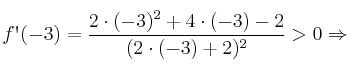
Debemos comprobar el signo de
en cada uno de los intervalos.
Cuando sea positivo la función CRECE y cuando sea negativo DECRECE
–
CRECE
–
DECRECE
–
DECRECE
–
CRECE
