Selectividad Andalucía 2018 Septiembre B4
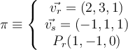
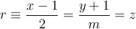
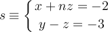
Considera las rectas
![]()
– a) Halla los valores de
y
para los que
y
se cortan perpendicularmente.
– b) Para
y
, calcula la ecuación general del plano que contiene a
y ![]()
SOLUCIÓN
En primer lugar obtenemos un vector y un punto de cada recta, pues seguro los necesitamos.
![]()
![]()
![]()
![]()
La pasamos a ecuaciones paramétricas

![]()
![]()
Creamos también un vector formado por un punto de cada recta:
![]()
a) Si las rectas tienen que ser perpendiculares, sus vectores directores deben ser ortogonales (su producto escalar cero).
![]()
![]()
Tenemos una ecuación con 2 incógnitas. Está claro que necesitamos otra ecuación que debemos obtener de la otra pista que nos proporciona el enunciado.
Si las rectas se cortan significa que están en el mismo plano.
Por tanto el rango de la matriz formada por
,
y
tiene que ser 2 (ver posición relativa de dos rectas en el espacio).
Entonces ![]()

Resolvemos el sistema formado por ambas ecuaciones
![]()
– b) Para
y
podemos obtener los vectores del apartado a) (sustituyendo m y n por sus valores)
![]()
![]()
![]()
Podemos estudiar la posición relativa obteniendo los datos del apartado anterior
![]()
Sustituyendo m y n por sus valores
![]()
Por tanto las rectas se cortan.
Para hallar la ecuación del plano que contiene a ambas, tomamos un vector de cada recta y un punto de una de ellas.


![]()