Selectividad Andalucía 2011-5-A3
Sean
y
dos matrices cuadradas de orden 3 cuyos determinantes son
y
. Halla:
– a)
– b)
– c)
– d)
– e) rango(B)
SOLUCIÓN
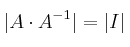
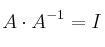
Para resolver el ejercicio necesitamos recordar la propiedad ![]()
– a) 
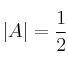
– b) Sabemos que
. Por otra parte,
. Entonces:

– c)

– d)
(Recordemos que el determinante de una matriz y el de su traspuesta son iguales)
– e) ![]()