Selectividad Andalucía 2008-3-B3
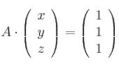
Considera la matriz

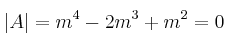
– a) Halla los valores del parámetro
para los que el rango de A es menor que 3
– b) Estudia si el sistema
tiene solución para cada uno de los valores de m obtenidos en el apartado anterior.
SOLUCIÓN
– a) El rango de A es menor que 3 cuando
.
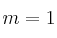
para
y para
Por tanto
ó
– b) Para
S.Icompatible (no tiene solución)
Para
S. C. Indeterminado (infinitas soluciones)