Selectividad Andalucía 2004-1-B3
Sabiendo que
,
calcula, indicando las propiedades que utilices, los siguientes determinantes:
(a) 
(b) 
(c) 
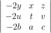
Sabiendo que
,
calcula, indicando las propiedades que utilices, los siguientes determinantes:
(a) 
(b) 
(c) 