Selectividad Andalucía 2002-2-A4
andalucíadiscutir_sistemaecuacion_matricialMatemáticasII_Andalucía_2002matricesselectividadsistema_con_parámetros
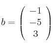
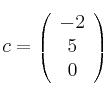
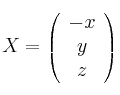
Considera las matrices

,

,

,

,

Determina
, si es posible, para que los sistemas de ecuaciones (dados en forma matricial)
![]()
tengan infinitas soluciones (cada uno de ellos).