Selectividad Andalucía 2002-1-A3
En el sector de las aceitunas sin hueso, tres empresas A, B y C, se encuentran en competencia. Calcula el precio por unidad dado por cada empresa sabiendo que verifican las siguientes relaciones:
– El precio de la empresa A es 0,6 euros menos que la media de los precios establecidos por B y C.
– El precio dado por B es la media de los precios de A y C.
– El precio de la empresa C es igual a 2 euros mas 2/5 del precio dado por A mas 1/3 del precio dado por B.
SOLUCIÓN
Asignamos incógnitas a los datos que nos piden (los precios)
– Precio de la empresa A
– Precio de la empresa B
– Precio de la empresa C ![]()
– El precio de la empresa A es 0,6 euros menos que la media de los precios establecidos por B y C.
![]()
– El precio dado por B es la media de los precios de A y C.
![]()
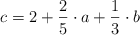
El precio de la empresa C es igual a 2 euros mas 2/5 del precio dado por A mas 1/3 del precio dado por B.
![]()
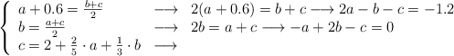
Tenemos un sistema de 3 ecuaciones con 3 incógnitas que debemos ordenar antes de resolver

![]()
![]()
![]()
El sistema quedaría así:

Podemos resolverlo por Gauss, por sustitución, etc. En este caso, vamos a resolver por sustitución.
Despejamos en la primera ecuación:
![]()
Y sustituimos en las otras dos ecuaciones:
![]()
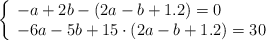
Quitamos paréntesis y ordenamos:
![]()
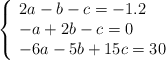
Vamos a resolver por reducción (multiplicamos la primera ecuación por 8 y sumamos ambas ecuaciones)

![]()
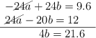
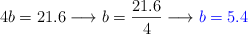
Ahora calculamos
en una de las dos ecuaciones
![]()
![]()
![]()
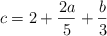
Finalmente obtenemos
(que estaba despejado al principio)
![]()
Por tanto, el precio dado por cada empresa es:
– Empresa A
euros
– Empresa B
euros
– Empresa C
euros
Mensajes
24 de abril de 2020, 17:53, por Dolores
Como se resuelve