Selectividad Andalucía 2001-2-B4
Considera la matriz

– (a) Siendo
la matriz identidad
y
la matriz nula
, prueba que
– (b) Calcula ![]()
SOLUCIÓN
– a) 


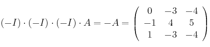
– b)

Considera la matriz

– (a) Siendo
la matriz identidad
y
la matriz nula
, prueba que
– (b) Calcula ![]()
– a) 


– b)
