Selectividad Andalucía 2001-2-A2
Siendo
el logaritmo neperiano de
, considera la función
definida por
. calcula:
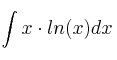
– (a)
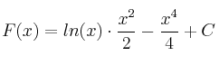
– (b) Una primitiva de
cuya gráfica pase por el punto ![]()
SOLUCIÓN
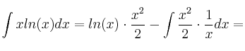
– (a) Nos piden hallar la integral indefinida
Las integrales del tipo polinómica por logarítmica se resuelven por partes aplicando la fórmula 


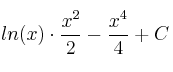
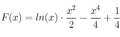
Por tanto, cualquier primitiva tendrá la forma:

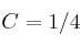
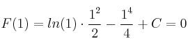
– (b) Una primitiva que pase por (1,0) siginifica que F(1)=0
Haciendo cálculos y despejando, obtenemos que
, por tanto, la primitiva que nos piden es:
