Resolver sistema con parámetros
Resuelve en función del parámetro
el siguiente sistema de ecuaciones:

SOLUCIÓN
–
S.C.Determinado. Las soluciones son:



–
Sist. Incompatible
–
Sist. Incompatible
Resuelve en función del parámetro
el siguiente sistema de ecuaciones:

–
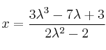
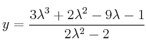
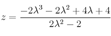
S.C.Determinado. Las soluciones son:



–
Sist. Incompatible
–
Sist. Incompatible