Resolver ecuaciones de primer grado
Para resolver ecuaciones de primer grado con una incógnita, seguimos los siguientes pasos:
- Quitar paréntesis (si los hubiese)
- Quitar denominadores (si los hubiese)
- Trasposición de términos: colocar los términos con incógnita en un miembro y los que no tienen incógnita en el otro miembro (para ello usamos la Regla de la suma)
- Agrupar términos: Sumamos en cada miembro los términos semejantes (ver Suma de monomios)
- Despejar la incógnita: para ello usamos la Regla del producto
- simplificar el resultado: en la mayoría de ocasiones deberemos simplificar la fracción resultante
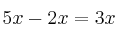
Ejemplo:
![]()
Pasos 1 y 2
No tiene paréntesis ni denominadores. Pasamos al paso 3:
Paso 3
Identificamos los términos que llevan incógnita y los que no la llevan
Términos con incógnita:
,
Términos sin incógnita:
,
Ponemos los que llevan incógnita en la izquierda y los que no llevan en la derecha.
– Los que ya se encuentren en su lugar adecuado no debemos tocarles.
– A los que tengamos que cambiar de miembro, debemos cambiarle el signo
![]()
Paso 4: agrupar (sumar-restar) los términos de cada miembro
– En la izquierda:
– En la derecha: 4 + 5 = 9
Por tanto, queda:
![]()
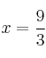
Paso 5: Despejar la incógnita
Pasamos el
, que multiplica a
, dividiendo al otro miembro:

Paso 6: Simplificamos el resultado:
![]()
Mensajes
13 de septiembre de 2016, 16:46, por Shandemy
Necesito Ayuda Con Éstas Ecuaciones:
20 - x = 7 + 11
y - 30y = 8 + 20
75x + 3x = 14 - 22
20 x + 30 y = 60
6 de octubre de 2016, 21:06, por pauli
20-x=7+11
– x=18-20
– x=-2 /*-1
x=2
31 de enero de 2017, 00:04, por lissett
hola me podran apoyar a resolver la ecuacion y enviarme porfavor el procedimiento grs quiero aprender
25-2x=3x+20
17 de febrero de 2017, 23:12, por José M
solución:
25-2x=3x+20=
– 3x-2x=-25+20=
donde
se suman
y queda
– 5x=-5 despejando x
nos queda
– 5x/+5=-5/-5=
x=1
comprobando 25-2(1)=3(1)+20
23=23
28 de agosto de 2018, 23:48, por Jesús
Ecuación Original
– > 25-2x=3x+20
Primero separamos términos semejantes.
– 2x-3x=20-25
Agrupación de términos
– 5x=-5
X=-5/-5 (La división de signos iguales da un signo positivo y la división de signos diferentes da un signo negativo.)
X=1
31 de marzo de 2017, 05:22, por Marisol S
Hola! espero que esto me ayude a mejorar, me cuesta trabajo y quisiera ayuda.
dejaré una ecuación y espero que esté en función el servicio.
(x+3)^3 - (3x-1)^2= x^3 + 4
20 de abril de 2017, 01:30, por Guillermo Bonilla Hernandez
Necesito ayuda en tres ecuaciones que son:
1: 3x+1:7
2: 3.5x -2:12
3: 5 + 4y-7:4y-2
3 de mayo de 2017, 14:32, por Paula
X^2-X+16=
Sime puede dar el resultado porfavor.
7 de marzo de 2018, 17:29, por Alguien
El resultado es 8
30 de junio de 2017, 20:08, por ecuu131ayudaaa
Necesito ayuda con estás ecuaciones:
A! -17x+15+6x-23=10-3x
B! 13-19x+9+7x=x-4-13x
C! -8+8x-6-11x+1=5+3x
D! 9x+12-14x-5=x-6-10x-7
E! 3(x+5)+6=5+5(x+2)
F! 8x-3(2+5x)=2(7-x)
G! 5(3x-7)-3(x-9)=4(3x-2)
K! 2(x+5)-3(4+x)-4x=2x-23
7 de agosto de 2017, 02:11, por MARTES
si p=a-3b y p-2Q=-3a-b entonces Q=
4 de junio de 2019, 19:47, por eudimar
q es ecuaciones para resolver
19 de octubre de 2017, 23:40, por fatyma figueroa
4(x+3)-5(x+8)=6(x+3)-2
9 de noviembre de 2017, 19:02, por manuel cadenas
10x-3=5-4y
23x+1=x+7
6x+4=8y-2
12x-2=6x+4
15 de noviembre de 2017, 20:39, por yohanderlin
6(4x+3)-2(2x+5)=5(3x+2)
19 de diciembre de 2017, 02:48, por Norma adela Diaz
Resolver
X20÷4-2+3×12
30 de marzo de 2018, 13:42, por Carmina
Como se resuelve esta ecuación 4x(x+3)-(2x+3)^2+1=x-(x+2)(x-2)
24 de septiembre de 2018, 22:19, por mayra
hola necesito resolver estas ecuaciones r(x)=4x+1
s(x)=x-2
a(x)=2x-3x^2-3
25 de septiembre de 2018, 02:42, por stefanis
ayuda nesecito estas ecuacioness 2x-6=x
esta 2(2+3 )=9x
9 de noviembre de 2018, 00:36, por diego
cual es el resultado de con el ejercicios 5 x +8 =3x -9+4
13 de noviembre de 2018, 08:45, por dani
EN el siguiente enlace la tienes resuelta paso a paso:
https://matematicasies.com/ayudame/...
Puede escribir cualquier ecuación y te la resuelve paso a paso:
https://matematicasies.com/ayudame/...
10 de noviembre de 2018, 17:01, por aiverson
2x+3-2=0 ayudame
18 de febrero de 2020, 00:18, por Ligia
Necesito ayuda y que me digan los pasos como lo resolvieron 3-x=_2x-5
26 de febrero de 2020, 22:16, por Jeison
Necesito ayuda con esta operacion :
B=×/5(-2×-2)-2×=8×-(4×-2)-2
25 de marzo de 2020, 00:06, por kevin michel
hola buenas tardes soy kevin michel solo quiero apoyo para entender mas las ecuaciones y queria saber si me pueden ayudar con estas dos ecuaciones que son 5x=8x-15 y la otra es 8x-15x-30x-51x=53x+31x-172
25 de marzo de 2020, 07:53, por dani
Puedes teclear la ecuación en el siguiente enlace y te la resuelve al instante, paso a paso:
https://matematicasies.com/Ecuacion...
25 de marzo de 2020, 00:09, por kevin michel
necesito de su ayuda para resolver esta ecuación
5x=8x-15
25 de marzo de 2020, 07:52, por dani
Puedes teclear la ecuación en el siguiente enlace y te la resuelve al instante, paso a paso:
https://matematicasies.com/Ecuacion...
26 de marzo de 2020, 22:20, por Adrian
dos equis al cuadrado-ocho=cero
2x2-8=0
26 de marzo de 2020, 22:34, por dani
2x²-8=0 es una ecuación de segundo grado incompleta.
Aquí tienes la Teoria
Y aquí Ejemplos resueltos
Y si quieres que te resolvamos algún ejemplo concreto, tienes que solicitarlo en el siguiente FORO
21 de abril de 2020, 01:20, por maria michell paz cardozo
hola lo que yo tengo es un poco complicado
4 de mayo de 2020, 11:28, por Manu
3x+11+2x=5+x-6
21 de mayo de 2020, 03:23, por juan carlos
– ( 6 - x ) + 15 = 15
1ro de julio de 2020, 06:53, por leonel
5-2(1-x)2x-3
24 de julio de 2020, 15:16, por diana
esta es la ecuacion q no puedo resolver
x-100.500=