Resolver Sistema Compatible Determinado por Sustitución
El método de sustitución consiste en:
– 1) Despejar una incógnita (la que queramos) en una de las ecuaciones (la ecuación que queramos).
– 2) Sustituir en las demás ecuaciones dicha incógnita por la expresión obtenida en el apartado anterior.
Con ello conseguimos reducir el sistema: tendrá una ecuación menos y una incógnita menos.
Ejemplo:
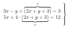
Resolvemos por sustitución el sistema:

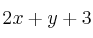
– 1) Vamos a despejar "z" en la 1ª ecuación

– 2) Sustituimos en las otras dos ecuaciones: donde haya
ponemos ![]()

Se ha convertido en un sistema de 2 ecuaciones con 2 incógnitas (x,y).
Se resuelve el sistema y se calculan "x" e "y"
Después se calcula "z" usando la expresión donde la teníamos despejada al principio.