Recta perpendicular a otras dos rectas
Halla la ecuación de la recta que pasa por el punto
y es perpendicular a cada una de las rectas
y 
SOLUCIÓN
En primer lugar deberíamos estudiar la posición relativa de ambas rectas.
– Si las rectas son paralelas o coincidentes, para encontrar una recta perpendicular a ambas, basta con que sea perpendicular a una de ellas
– Si las rectas se cruzan o son secantes, para encontrar una recta perpendicular a ambas, podemos usar como vector director el producto vectorial de los vectores directores de las rectas.
La recta
tiene como vector director ![]()
La recta
tiene como vector director ![]()
Los vectores
y
no son proporcionales, por tanto las rectas no son ni coincidentes ni paralelas (se cruzan o se cortan).
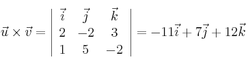
Recordemos que el vector producto vectorial
es perpendicular a
y a
, Por tanto
va a ser el vector director de la recta que nos piden.
Como además nos dan un punto por donde pasa, podemos determinar completamente la recta que nos piden.

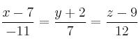
Con el vector obtenido (-11, 7, 12) y el punto que nos dan (7,-2,9) podemos construir la ecuación de la recta que nos piden, por ejemplo en ecuación continua
