Razones trigonométricas de la suma y resta de ángulos
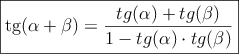
Razones trigonométricas de la suma de ángulos
Si conocemos las razones trigonométricas de dos ángulos, podemos obtener las razones del ángulo suma mediante las siguientes fórmulas:
![]()
![]()

Ejemplo
Dado que conocemos las razones trigonométricas de ángulos notables, podemos calcular (sin calculadora) las razones de 75º (como suma de 45º+30º).
![]()
![]()
Razones trigonométricas de la resta de ángulos
Si conocemos las razones trigonométricas de dos ángulos, podemos obtener las razones del ángulo resta mediante las siguientes fórmulas:
![]()
![]()

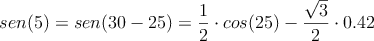
Ejemplo
Sabiendo que sen(25)=0.42, calcula sen(5)
Como sabemos las razones de 30º (es un ángulo notable), podemos expresarlo de la siguiente forma:
![]()
![]()
Nos falta conocer cos(25), pero como tenemos sen(25)=0.42, podemos hallarlo usando la fórmula fundamental de la trigonometría
![]()
Le aconsejo que complete los cálculos y los verifique usando una calculadora.