Razones trigonométricas de ańgulos complementarios
Dos ángulos son complementarios si entre ambos suman 90º.
Serían de la forma
y ![]()
En los triángulos rectángulos los ángulos no rectos son complementarios
![]()
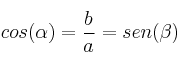
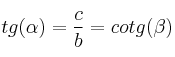
Podemos ver que el cateto opuesto a un ángulo coincide con el cateto contiguo de su complementario y viceversa.



Por tanto, el seno de un ángulo es igual al coseno de su complementario
![]()
![]()
![]()