Rango de una matriz en función de un parámetro
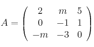
Veamos como calcular el rango (en función de un parámetro) de una matriz de dimensión 3x3

Observamos que todos los elementos no son números. Hay un parámetro (en este caso "m").
El rango de la matriz puede ser distinto dependiendo del valor "m".
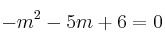
– 1) Calculamos el determinante

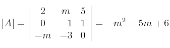
– 2) Resolvemos la ecuación ![]()
![]()

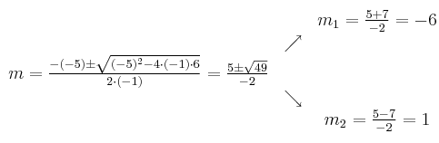
– 3) Analizamos cuando ![]()
Si
y 
– 4) Analizamos, uno a uno el resto de casos
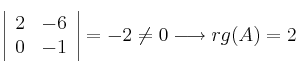
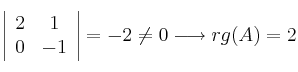
– Si
ya sabemos que ![]()
Por tanto el rango no puede ser 3. Veamos si el rango es 2


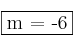
– Si
ya sabemos que ![]()
Por tanto el rango no puede ser 3. Veamos si el rango es 2


Resumimos el resultado:
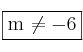
– Si
y
– Si
– Si 