Producto de matrices
Producto de matrices
– No siempre es posible el producto de matrices.
– Para poder multiplicar dos matrices, el nº de columnas de la primera debe ser igual al nº de filas de la segunda
– El producto de matrices no es conmutativo
Producto de matrices
No siempre es posible el producto de matrices
Condiciones para el producto de matrices
Cuando se pueden multiplicar matrices
Una vez que sabemos la dimensión de la matriz producto, calculamos cada uno de sus elementos de la siguiente forma:
fila
de la 1ª matriz
columna
de la 2ª matriz
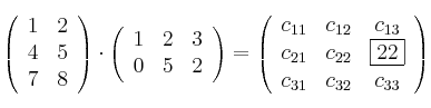
Ejemplo:
fila
de la 1ª matriz
columna $3$ de la 2ª matriz
![]()
Procedimiento para multiplicar matrices
como se procede para multiplicar matrices

Calculamos todos los elementos de la matriz producto:

Finalmente nos queda el resultado:

Propiedades importantes:
– El producto de matrices no es conmutativo:
– El producto de matrices no es simplificable:
no implica
.