Probabilidad usando dados trucados

Ejercicios_Resueltosprobabilidad

Un dado ha sido trucado de manera que todos los números pares tienen la misma probabilidad y que la probabilidad de cada número impar es 7 veces la probabilidad de cada número par.
Determina la probabilidad de que al lanzar el dado obtengamos :

a) Un número impar
b) Un número mayor que 3
c) Un divisor de 6
d) Un múltiplo de 2 si el resultado ha sido impar
e) Un número par si ha salido un número menor que 6
f) Un número que sea impar o divisor de 12

SOLUCIÓN

Debemos entender la diferencia entre un dado equilibrado (o nomarl), donde todos las caras tienen la misma probabilidad y un dado trucado, donde todos las caras NO tienen la misma probabilidad.
Saber más sobre dados trucados

En nuestro ejemplo todos los números pares tienen la misma probabilidad, supongamos que sea "a" esa probabilidad

P(2) = P(4) = P(6) = a

La probabilidad de los impares es 7 veces la de los pares

P(1) = P(3) = P(5) = 7a

La clave es saber que la suma de las probabilidades de todos los sucesos elementales vale siempre 1

P(1)+Ṕ(2)+ P(3) +P(4)+ P(5)+P(6) = 1


7a+a+ 7a+a+ 7a+a = 1


24a = 1 \longrightarrow a = \frac{1}{24}

Ahora ya podemos expresar las probabilidades de todos los números

P(2) = P(4) = P(6) = \frac{1}{24}

P(1) = P(3) = P(5) = \frac{7}{24}

Entonces ya resuelta más sencillo calcular lo que nos piden:

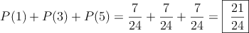
a) Un número impar
P(1) + P(3) +P(5) = \frac{7}{24}+\frac{7}{24}+\frac{7}{24}= \fbox{\dfrac{21}{24}}

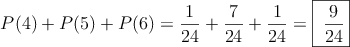
b) Un número mayor que 3
P(4) + P(5) +P(6) = \frac{1}{24}+\frac{7}{24}+\frac{1}{24}= \fbox{\dfrac{9}{24}}

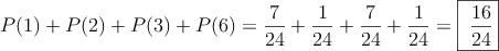
c) Un divisor de 6
P(1) + P(2)+PÇ(3) +P(6) = \frac{7}{24}+\frac{1}{24}+\frac{7}{24}+\frac{1}{24}= \fbox{\dfrac{16}{24}}

d) Un múltiplo de 2 si el resultado ha sido impar
Si es impar no puede ser múltiplo de 2. La probabilidad es 0

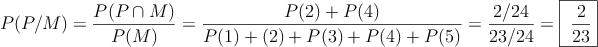
e) Un número par si ha salido un número menor que 6

Llamamos a los sucesos:
P = "salir número par"
M = "salir número menor que 6"
Nos piden P(P/M)
Usamos la fórmula de la Probabilidad condicionada

P(P/M)=\frac{P(P \cap M)}{P(M)}= \frac{P(2)+P(4)}{P(1)+Ṕ(2)+ P(3) +P(4)+ P(5)}=\dfrac{2/24}{23/24}=\fbox{\dfrac{2}{23}}

f) Un número que sea impar o divisor de 12
P(1) + P(2)+PÇ(3) +P(4)+(5)+P(6) = \fbox{1}

Comentar el ejercicio