Posición relativa de 3 planos en función de un parámetro
Estudiar la posición relativa de los siguientes planos según los posibles valores del parámetro
, siendo:
![]()
![]()
![]()
SOLUCIÓN
Si miramos lo que dice la teoría sobre la Posición relativa de 3 planos, veremos que hay que discutir el sistema formado por las 3 ecuaciones de los 3 planos.
Para discutir el sistema usamos el Teorema de Rouché, pero debemos tener en cuenta que es un sistema con parámetro. Debemos recordar cómo se Discute un sistema con parámetros.
Una vez que tengamos claro todo lo anterior, podemos empezar:
Antes de nada, debemos observar que en la 1ª ecuación se puede dividir todo por 2 (todos los coeficientes son pares), lo cual simplificará los cálculos. No obstante lo voy a resolver sin simplificar (suponiendo que no hemos observado ese detalle).
Escribimos la matriz de los coeficientes (A) y la matriz ampliada (A*)

Calculamos el determinante de A por la regla de Sarrus

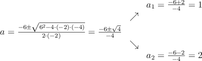
Vemos cuando det(A) vale 0
![]()
Resolvemos la ecuación de segundo grado

Por tanto
ó ![]()
Lo anterior nos genera 3 casos que debemos estudiar individualmente:
Caso 1)
y además ![]()
Caso 2) ![]()
Caso 3) ![]()
Se suele empezar por el primer caso porque es el más fácil de analizar (no hay que hacer cálculos) y siempre sale lo mismo.
![]()
También ocurre que
(no puede ser >3 porque sólo tiene 3 filas).
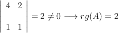
Como ![]()
El sistema tiene solución única, por tanto los planos tienen un solo punto en común: los tres planos se cortan en un punto.
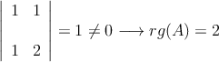
![]()



![]()
Es un sistema compatible indeterminado (infinitas soluciones), por tanto los 3 planos se cortan en una recta.
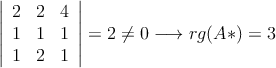
![]()



![]()
Sistema incompatible (sin solución). Los tres planos no tienen ningún punto en común.
Aquí puede haber dos opciones:
– Los planos se cortan dos a dos en una recta
– Dos planos paralelos y el tercero cortando a ambos
En nuestro casos tenemos los dos primeros paralelos y el tercero cortando a los anteriores.
Observemos que para a=2 los planos
y
tienen los coeficientes de x,y, z proporcionales (son paralelos)