Polígonos regulares
Decimos que un polígono es regular cuando sea equiángulo (todos su sángulos interiores son iguales) y equilátero (todos sus lados son iguales).
Nombre de los polígonos regulares
| Nº de lados | Nombre |
|---|---|
| 3 lados | triángulo equilátero |
| 4 lados | cuadrado |
Para los demás .. se añade el ajdetivo "regular" al nombre del polígono.
| 5 lados | pentágono regular |
| 6 lados | hexágono regular |
| ··· | ··· regular |
Elementos de un polígono regular
Además de los elementos de cualquier polígono, en los polígonos regulares aparecen los siguientes elementos:
– centro(C): punto que está a la misma distancia de todos los vértices
– radio(r): segmento que une el centro con un vértice
– apotema(a): segmento que une el centro con el punto medio de un lado
– ángulo central(
): ángulo formado por dos radios de dos vértices consecutivos
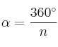
El ángulo central (
) se puede calcular con la fórmula
, donde
es el número de lados.
El ángulo interior (
) se puede calcular con la fórmula
, donde
es el número de lados.
La suma de los ángulos interiores de un polígono regular vale
![]()
siendo
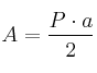
El área de un polígono regular se puede calcular con la fórmula

donde