Perímetros y Áreas de figuras circulares
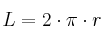
Longitud de la círcunferencia
![]()
r es el radio de la circunferencia
Longitud de un arco de círcunferencia

r es el radio y
Arco de circunferencia
longitud del arco en función del ángulo
Área del círculo
Área del círculo
Área del círculo en función del radio
Área del sector circular
Área de un sector circular
Área de un sector circular
Área de la corona circular
Área de una corona circular
Área de una corona circular
![]()
Restamos al área del círculo grande, el área del círculo pequeño
R: radio de la circunferencia grande
r: radio de la circunferencia pequeña
Área del trapecio circular
Área del trapecio circular
Área del trapecio circular

R: radio de la circunferencia grande
r: radio de la circunferencia pequeña