• Apuntes
  • Vídeos
  • Ejercicios
    • Resueltos
    • Por Curso
      • 1º ESO
      • 2º ESO
      • 3º ESO
      • 4º ESO
      • 1º BACH. CIENCIAS
      • 1º BACH. SOCIALES
      • 2º BACH. CIENCIAS
      • 2º BACH. SOCIALES
  • Más recursos
    • Actividades Interactivas
    • Selectividad (PAU)
    • Acceso Mayores 25
    • LaTeX
Inicio ›EJERCICIOS de Matemáticas ›1º BACH. SOC. ›Números Reales ›Operaciones con fracciones 4556

Operaciones con fracciones 4556

Ejercicios_Resueltosoperaciones_con_fracciones

Realiza las siguientes operaciones y simplifica el resultado.

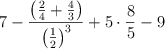
7 - \frac{\left( \frac{2}{4} + \frac{4}{3} \right) }{\left( \frac{1}{2} \right)^3} + 5 \cdot \frac{8}{5} - 9

SOLUCIÓN

Podemos hacer aparte algunas operaciones:

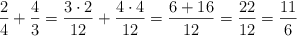
 \frac{2}{4} + \frac{4}{3} = \frac{3 \cdot 2}{12} + \frac{4 \cdot 4}{12} = \frac{6+16}{12} = \frac{22}{12} = \frac{11}{6}

\left( \frac{1}{2} \right)^3 = \frac{1}{8}

\frac{\left( \frac{2}{4} + \frac{4}{3} \right) }{\left( \frac{1}{2} \right)^3} = \frac{11}{6} :  \frac{1}{8}= \frac{11 \cdot 8}{6 \cdot 1}=\frac{88}{6} = \frac{44}{3}

Entonces la operación total quedará de la forma:

7 -  \frac{44}{3} + 5 \cdot \frac{8}{5} - 9 =


7 -  \frac{44}{3} + 8 - 9 = 6 - \frac{44}{3} = \frac{18-44}{3}=\frac{-26}{3}


Comentar el ejercicio

  • 1º BACH. SOC.
    • Funciones
    • Inecuaciones
    • Logarítmos
    • Números Reales
    • Polinomios
    • Estadística
    • Probabilidad
    • Variables Aleatorias Unidimensionales
    • Ecuaciones y Sistemas
    • Límites y Derivadas
    • Exámenes
    • Variables Aleatorias bidimensionales
    • Matemática Financiera
  • Mapa del sitio
  • Conectarse
  • 2001-2026 — Matemáticas IES — Contactar con Dani