Integrales, límites y sumatorios
Nos basaremos en los comandos latex:
\lim \int \sum
y en los subíndices y superíndices
Límites
![]()
\lim\limits_{x \rightarrow a} f(x)
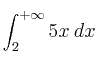
Integrales

\int_2^{+\infty}5x \: dx
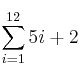
Sumatorios

\sum_{i=1}^{12}5i+2
Mensajes
18 de agosto de 2011, 22:53, por nicolas
opino que no se cumple el objetivo con esos comandos, mejor es dar la orden que sea arriba y abajo el unico que funciona es el de la integral yo recomiendo cambiar los comandos por:
$\underset{x\rightarrow 0}limx^2$
\underset para poner abajo lo que se quieray arriba
.. pues en el texto o a la derecha o izquierda saldra igual, es decir en cualquier parte sale igual
al igual que para las sumatorias asi:
$\overset12\undersetn=0\sum\frac1n$
\oversetlo que va arriba\undersetloque va abajo\sum\frac1n$
el mismo comentario que el limite...
18 de agosto de 2011, 23:09, por dani
Esto no es un texto LaTeX donde se puede elegir cualquier comando. Esto es LaTeX en la web, si se pudiera usar cualquier comando, si el servidor permitiera cualquier comando laTeX .. sería relativamente fácil joder un servidor o tomar el control del mismo.
De todas formas, gracias por sus comentarios.
15 de septiembre de 2011, 03:31, por kolmo
para que se cumpla lo antes mencionado se tiene que colocar el comando \displaystyle
29 de abril de 2020, 06:25, por Eristeo
Muchas gracias por la ayuda