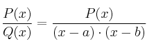
Integrales Racionales con raíces reales simples
Una vez factorizado el denominador, supongamos que obtenemos dos raíces reales simples: a y b

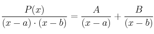
La descomposición sería mediante una fracción por cada una de las raíces:

Dando valores arbitrarios a
, por ejemplo:
,
,
obtendremos los valores de
. Normalmente necesitaremos dar tantos valores a
como fracciones simples tengamos.
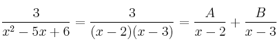
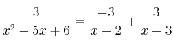
Ejemplo: 
– Factorizamos el denominador:
– Expresamos la descomposición en suma de dos fracciones

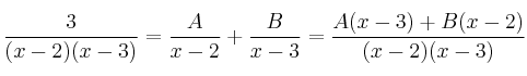
– Realizamos la suma de fracciones

– Nos fijamos en la siguiente igualdad
![]()
– Para calcular
– Si
– Si 
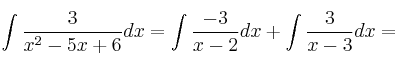
Ya tenemos el resultado:

Por tanto:

![]()
Observe que se reducen a integrales sencillas tipo Neperiano.