• Apuntes
  • Vídeos
  • Ejercicios
    • Resueltos
    • Por Curso
      • 1º ESO
      • 2º ESO
      • 3º ESO
      • 4º ESO
      • 1º BACH. CIENCIAS
      • 1º BACH. SOCIALES
      • 2º BACH. CIENCIAS
      • 2º BACH. SOCIALES
  • Más recursos
    • Actividades Interactivas
    • Selectividad (PAU)
    • Acceso Mayores 25
    • LaTeX
Inicio ›<::: Apuntes :::> ›MATEMÁTICAS ›17 - Integrales ›1 - Integrales Inmediatas ›Integrales Inmediatas tipo arc sen y arc tg

Integrales Inmediatas tipo arc sen y arc tg

💬 2

  integralesintegrales inmediatas

Dos nuevas fórmulas para integrales inmediatas:

 \int \frac{u^\prime}{\sqrt{1-u^2}}dx = arc \: sen \: u

\int \frac{u^\prime}{1+u^2}dx = arc \: tg \: u

donde u es una función u(x)

Ejemplos:

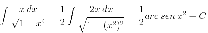
 \int \frac{x \: dx}{\sqrt{1-x^4}} = \frac{1}{2} \int \frac{2x \: dx}{\sqrt{1-(x^2)^2}} = \frac{1}{2} arc \: sen \: x^2 + C

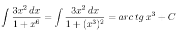
\int \frac{3x^2 \: dx}{1+x^6} = \int \frac{3x^2 \: dx}{1+(x^3)^2} = arc \: tg \: x^3 + C

Comentar el artículo

Mensajes

  • 21 de septiembre de 2018, 01:35, por Diego

    En el ejemplo 1 se les faltó al final el 1/2 , no obstante que me haya dado cuenta significa que me esta sirviendo su servicio, muchas gracias.

    • 24 de septiembre de 2018, 10:38, por dani

      Ya hemos puesto el 1/2 que faltaba.

      Gracias por su aportación

1 - Integrales Inmediatas

  • Integrales Inmediatas tipo arc sen y arc tg
  • Integrales Inmediatas tipo Exponencial
  • Integrales Inmediatas tipo Logaritmo Neperiano
  • Integrales Inmediatas tipo Tangente
  • Integrales Inmediatas Trigonométricas tipo Sen-Cos
  • Integrales Inmediatas. Potencia de una función
  • Integrales Inmediatas. Resumen de Fórmulas
  • Integrales polinómicas. Primeras propiedades de las (…)
  • Introducción a las Integrales
  • Mapa del sitio
  • Conectarse
  • 2001-2026 — Matemáticas IES — Contactar con Dani