Geometría en el Espacio
(103) ejercicios de Geometría en el Espacio
-
Calcula el volumen del paralelepípedo definido por los puntos
,
,
y 
-
Halla la distancia entre los puntos
y 
-
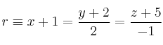
Halla la distancia del punto
a la recta 
-
Hallar la distancia del punto
al plano 
-
Halla la distancia entre las rectas paralelas:

