Geometría en el Plano

Geometría - 1º Bach. Ciencias

Dado el triángulo de vértices A(-2,3) , B(5,1) y C(3,-4) , halla la ecuación de la altura correspondiente al vértice B

Dado el triángulo de vértices A(-2,3) , B(5,1) y C(3,-4) , halla la ecuación de la mediana correspondiente al vértice B

Halla la ecuación de la recta que pasa por los puntos (3,2) y (9,4)

Halla la ecuación general de la recta que pasa por los puntos (2,1) y (6,9)

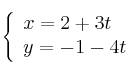
Dadas las ecuaciones para métricas de una recta:
 \left\{
\begin{array}{ll}
x = 2+3t \\
y  = -1-4t
\end{array}
\right.
Se pide:

 dos puntos
 dos vectores directores
 representación gráfica

Halla la ecuación punto-pendiente de la recta que pasa por los puntos (2,1) y (6,9)

Halla la ecuación vectorial de la recta que pasa por los puntos (1,0) y (4,6)

Dada la recta de ecuación vectorial (x,y) = (4,3) + t(2,5) , se pide:

 tres puntos por los que pase
 tres vectores directores
 representación gráfica

Halla las ecuaciones vectorial, paramétricas, continua, general y explícita de la recta que pasa por los puntos A(3,1) y B(5,7)

Halla las coordenadas del vector \vec{MN} , siendo:
M(-6,2) \qquad N(4,8)