Funciones Gráfica Monotonía Asíntotas
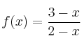
Sea la función 
– a) Calcula sus asíntotas
– b) Estudia su monotonía
– c) Represéntala gráficamente
SOLUCIÓN
Asíntotas
Asíntota vertical: 
Asíntota horizontal: 
Monotonía
CRECIENTE ![]()
CRECIENTE ![]()
Sea la función 
– a) Calcula sus asíntotas
– b) Estudia su monotonía
– c) Represéntala gráficamente
Asíntota vertical: 
Asíntota horizontal: 
CRECIENTE ![]()
CRECIENTE ![]()