Función de proporcionalidad inversa
Hallas asíntotas, puntos de corte con los ejes, dominio y rango de la función
. Dibuja su gráfica.
SOLUCIÓN
La función
es una función de proporcionalidad inversa (dentro del grupo de funciones racionales).
El dominio es
(todos los números reales excepto el 0).
Su rango (también llamado imagen o recorrido) es
(todos los números reales excepto el 0).
Los ejes de coordenadas son asíntotas (por tanto no cortan a los ejes)
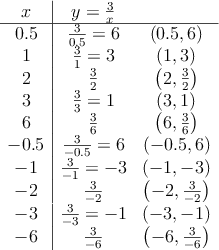
Para dibujar la gráfica de la función
, además de tener en cuenta que los ejes son asíntotas, podemos calcular unos cuantos puntos previamente.
