Expresión matricial y resolución de sistema
Dado el siguiente sistema:

a) Escribe la matriz de los coeficientes, la matriz ampliada, la de las incógnitas y la de los términos independientes. Expresa el sistema en forma matricial.
b) Resuelve el sistema por el método que desees (Gauss o Cramer). A la vista de las soluciones, ¿de qué tipo es el sistema?
SOLUCIÓN
Antes de poner las matrices debemos ordenar el sistema

Una vez ordenado, ya podemos expresar las matrices
Matriz de los coeficientes

Matriz ampliada

Matriz de las incógnitas

Matriz de los términos independientes

Expresión matricial del sistema
![]()

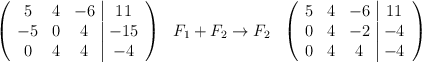
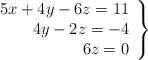
b) Resolvemos el sistema por Gauss


Una vez que tenemos los ceros de Gauss, pasamos a ecuaciones y lo resolvemos de abajo hacia arriba

![]()
![]()
![]()
Se trata de un S.C.D. (Sistema Compatible Determinado)