Ecuaciones Exponenciales y Logarítmicas

Ecuaciones Exponenciales y Logarítmicas - 1º Bach. Ciencias

Resuelve la ecuación:
\log x = \log 36 - \log 9

Resuelve la ecuación:
\ln x = \ln 17 + \ln 13

Resuelve la ecuación
2 \cdot \ln (x-3) = \ln x - \ln 4

Resuelve la ecuación
\log (x+3) - \log (x-6) = 1

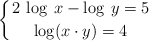
Resuelve el siguiente sistema de ecuaciones:
\left\{ 2 \: \log \: x - \log \: y  = 5 \atop \log (x \cdot y) = 4 \right.

When \(a \ne 0\), there are two solutions to \(ax^2 + bx + c = 0\) and they are \(x = {-b \pm \sqrt{b^2-4ac} \over 2a}.\)