Ejercicio vectores 3372
Calcula las coordenadas de un vector
de módulo 5 que sea perpendicular al mismo tiempo a los vectores
y
, expresados respecto de la misma base ortonormal que el vector ![]()
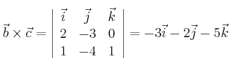
SOLUCIÓN




Calcula las coordenadas de un vector
de módulo 5 que sea perpendicular al mismo tiempo a los vectores
y
, expresados respecto de la misma base ortonormal que el vector ![]()



