Ejercicio vectores 3 dimensiones
Dados los vectores
,
y
, se pide:
– a) ¿Son linealmente dependientes los 3 vectores?
– b) Calula
(producto vectorial)
– c) Encuentra dos vectores paralelos al vector
– d) Encuentra dos vectores perpendiculares al vector
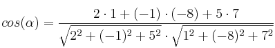
– e) Halla el ángulo que forman los vectores
y ![]()
SOLUCIÓN
– a) ¿Son linealmente dependientes los 3 vectores?
Como el determinante es distinto de cero, los vectores son linealmente independientes
– b) Calula
(producto vectorial)

Por tanto ![]()
– c) Encuentra dos vectores paralelos al vector
Para encontrar vectores paralelos, basta con crear vectores proporcionales, por ejemplo
, ![]()
– d) Encuentra dos vectores perpendiculares al vector
, ![]()
– e) Halla el ángulo que forman los vectores
y ![]()
La fórmula del producto escalar

nos permite averiguar el ángulo que forman dos vectores, despejando el coseno:




Usamos la calculadora y vemos que el ángulo es aproximadamente 39.7 grados