Ejercicio: Plano que pasa por 3 puntos
Halla la ecuación del plano que pasa por los puntos
,
y ![]()
SOLUCIÓN
Usaremos la ecuación general del plano

Necesitamos un punto y dos vectores.
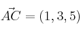
Punto:
Vector 1:
Vector 2: 
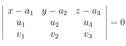
Entonces la ecuación será:

Resolviendo el determinante y simplificando obtenemos:
![]()