Ejercicio Integrales Hallar Función conociendo derivada segunda

💬 2

  Ejercicios_Resueltosfuncionesintegrales

Halla la ecuación de una curva que pasa por los puntos P(0,3) y Q(-1,4) sabiendo que su derivada segunda es f\textsc{\char13}\textsc{\char13}(x)=6x-2

SOLUCIÓN

Si tenemos f\textsc{\char13}\textsc{\char13}(x) podemos calcular f\textsc{\char13}(x) integrando:

f\textsc{\char13}(x)= \int (6x-2) dx = \frac{6x^2}{2}-2x+k = 3x^2-2x+k

Volvemos a integrar:

f(x)= \int (3x^2-2x+k) dx = x^3-x^2+kx+k\textsc{\char13}


Por tanto:

f(x) = x^3-x^2+kx+k\textsc{\char13}

Si pasa por (0,3) significa que f(0)=3

f(0) = 0^3-0^2+k \cdot 0+k\textsc{\char13} = 3 \longrightarrow k\textsc{\char13}=3


Por tanto:

f(x) = x^3-x^2+kx+3

Si pasa por (-1,4) significa que f(-1) = 4

f(-1) = (-1)^3-(-1)^2+k \cdot (-1)+3


de donde k=-3

Por tanto la función que nos piden es:

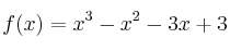
f(x)=x^3-x^2-3x+3

Comentar el ejercicio

Mensajes