Ecuaciones irracionales 2768
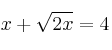
Resuelve la ecuación 
SOLUCIÓN

En primer lugar debemos aislar la raíz (dejarla sola a uno de los lados del signo igual)

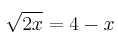
Ahora elevamos al cuadrado para que desaparezca la raiz

![]()
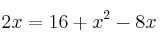
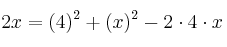
Aplicamos las fórmulas de los productos notables
![]()
![]()
Obtenemos una ecuación de segundo grado que debemos ordenar
![]()
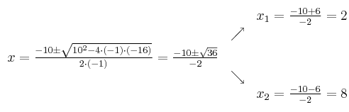
Aplicamos la fórmula de las ecuaciones de segundo grado

En las ecuaciones irracionales siempre hay que verificar las soluciones:
– Para

– Para ![]()

FALSO
Por tanto la única solución de la ecuación es 