Ecuaciones del plano 4568
Dados el punto
y los vectores
y
se pide:
a) Halla la ecuación vectorial, paramétrica e implícita (o general) del plano
que forman.
b) Comprueba si los puntos
y
pertenecen o no al plano
.
SOLUCIÓN
Ecuación vectorial
![]()
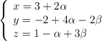
Ecuaciones paramétricas

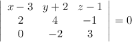
Ecuación implícita o general

Resolvemos determinante y ordenamos:
![]()
![]()
b) Para comprobar si un punto pertenece a un plano tan sólo haya que mirar si verifica la ecuación del plano
![]()
![]()
![]()
![]()
![]()
![]()
![]()
![]()