Derivadas de Polinomios
Calcula la derivada de las siguientes funciones:
– a)
– b)
– c)
– d)
– e)
– f)
– g)
– h) ![]()
SOLUCIÓN
– a) ![]()
![]()
– b) ![]()
![]()
– c) ![]()
![]()
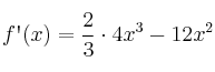
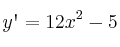
– d) 

– e) ![]()
![]()
– f) ![]()
![]()
– g)![]()
![]()
– h) ![]()
![]()
Calcula la derivada de las siguientes funciones:
– a)
– b)
– c)
– d)
– e)
– f)
– g)
– h) ![]()
– a) ![]()
![]()
– b) ![]()
![]()
– c) ![]()
![]()
– d) 

– e) ![]()
![]()
– f) ![]()
![]()
– g)![]()
![]()
– h) ![]()
![]()