Demuestra que 3 puntos forman triángulo rectángulo

Ejercicios_Resueltosvectores_3D

Demuestre que los tres puntos (1,-1, 3), (2, 1 ,7) y (4, 2, 6) son los vértices de un triángulo rectángulo y calcule su área.

SOLUCIÓN

Ponemos nombre a los puntos en primer lugar
A(1,-1, 3) ; B(2, 1 ,7) ; C(4, 2, 6)

Creamos los vectores dos a dos

\vec{AB} = (1,2,4)
\vec{AC} = (3,3,3)
\vec{BC} = (2,1,-1)

Como \vec{AB} y \vec{AC} no son proporcionales, tenemos garantizado que los 3 puntos forman un triángulo.
Si fuesen proporcionales, los 3 puntos estarían alineados.

Para comprobar que el triángulo es rectángulo, debemos encontrar entre los 3 vectores una pareja que sean ortogonales. En caso de encontrar esa pareja de vectores perpendiculares, demostraríamos que es triángulo rectángulo y además sabríamos en qué vértice está el ángulo recto.

Usamos el producto escalar para comprobar si son ortogonales

\vec{AB} \cdot \vec{AC} = 1 \cdot 3 + 2 \cdot 3 +4 \cdot 3 = 21

\vec{AB} \cdot \vec{BC} = 1 \cdot 2 + 2 \cdot 1 +4 \cdot (-1) = 0

El ángulo recto está en el vértice B

Para calcular el área tomamos como base el módulo del vector \vec{AB} y como altura el módulo del vector \vec{BC}

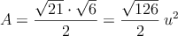
A = \frac{|\vec{AB}| \cdot |\vec{BC}|}{2}=\frac{+\sqrt{1^2+2^2+4^2} \cdot +\sqrt{2^2+1^2+(-1)^2}}{2}


A=\frac{\sqrt{21} \cdot \sqrt{6}}{2} = \frac{\sqrt{126}}{2} \: u^2

Otra forma de resolverlo

Se puede resolver también, después de comprobar que los 3 puntos no están alineados, calculando los módulos de los 3 vectores y comprobando que forman uan terna pitagórica, es decir, la suma de los cuadrados de los dos más pequeños (catetos) debería ser igual al cuadrado del lado más grande (hipotenusa)

|\vec{AB}| = \sqrt{21}
|\vec{BC}| = \sqrt{6}
|\vec{AC}| = \sqrt{3^2+3^2+3^2} = \sqrt{27}

\left( \sqrt{21} \right)^2 + \left( \sqrt{6} \right)^2 = \left( \sqrt{27} \right)^2


 21 + 6 = 27

Comentar el ejercicio