Castillos de fracciones
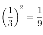
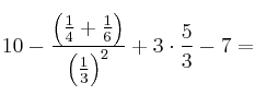
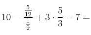
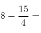
Realiza las siguientes operaciones y simplifica el resultado.

SOLUCIÓN
Hacemos operaciones aparte



Entonces tenemos:






![]()
Realiza las siguientes operaciones y simplifica el resultado.

Hacemos operaciones aparte



Entonces tenemos:






![]()