Cálculo de límites de funciones
Calcula los siguientes límites de funciones:
–
– 
SOLUCIÓN
–
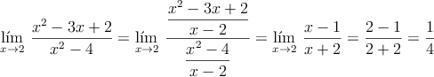
Indeterminación que se resuelve dividiendo numerador y denominador entre (x-2)
![\polyhornerscheme[x=2, resultstyle=\color{red},resultbottomrule,resultleftrule,resultrightrule]{x^2-3x+2} \qquad \polyhornerscheme[x=2, resultstyle=\color{red},resultbottomrule,resultleftrule,resultrightrule]{x^2-4} \polyhornerscheme[x=2, resultstyle=\color{red},resultbottomrule,resultleftrule,resultrightrule]{x^2-3x+2} \qquad \polyhornerscheme[x=2, resultstyle=\color{red},resultbottomrule,resultleftrule,resultrightrule]{x^2-4}](local/cache-TeX/544c4a1d7760e87740983181e54be1b5.png)

![]()
Calcula los siguientes límites de funciones:
–
– 
–
Indeterminación que se resuelve dividiendo numerador y denominador entre (x-2)
![\polyhornerscheme[x=2, resultstyle=\color{red},resultbottomrule,resultleftrule,resultrightrule]{x^2-3x+2} \qquad \polyhornerscheme[x=2, resultstyle=\color{red},resultbottomrule,resultleftrule,resultrightrule]{x^2-4} \polyhornerscheme[x=2, resultstyle=\color{red},resultbottomrule,resultleftrule,resultrightrule]{x^2-3x+2} \qquad \polyhornerscheme[x=2, resultstyle=\color{red},resultbottomrule,resultleftrule,resultrightrule]{x^2-4}](local/cache-TeX/544c4a1d7760e87740983181e54be1b5.png)

![]()