Calcular el mínimo común múltiplo (m.c.m.)
El mínimo común múltiplo (m.c.m. o mcm) de varios números es el menor de sus múltiplos comunes.
Para cacularlo:
– Factorizamos los números
– Tomamos todos los factores (comunes y no comunes) elevados a los mayores exponentes
– El m.c.m. es el producto de los factores anteriores
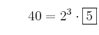
Ejemplo: ![]()

Los factores son:
y elvados a los mayores exponentes (dentro de un recuadro) serían:
.
Multiplicando los factores anteriores se obtiene el mcm

Pon tu propio ejemplo (calcula el mcm de los números que tu quieras)
Mensajes
12 de mayo de 2011, 02:08, por Una madre desesperada
Muchas Gracias,explicación clara,concisoa y entendible...¿que mas se puede pedir? Gracias
7 de junio de 2011, 00:32, por caratula
esta muy bueno me copie del video
16 de agosto de 2011, 16:22, por katia
gracias me ayudo en mis clase ya que me lo estan enseñando y mi profe tambien vio el video esta sorprendida y agra decida por usted que explico mejor la clase muchas gracias profesor es muy bueno explicando clases
10 de octubre de 2011, 18:51, por axel
no entiendo muy bien
23 de octubre de 2011, 11:26
si lo repites muchas veces lo entenderas
1ro de noviembre de 2011, 14:35, por nakary almeida
ufffffffff pues sssssi encerio
17 de noviembre de 2011, 18:59, por ANITA
ME HA ENCANTADO COMO LO EXPLICAS.PERO,¿DONDE ME PUEDO METER PARA QUE ME EXPLIQUE COMO HACER LAS RECTAS NUMÉRICAS PARA SUMAR Y RESTAR NÚMEROS ENTEROS?
26 de enero de 2012, 02:03
En un principio no le entendí, pero con tú ejemplo fué mucho más sencillo. Gracias de parte de José Luis Messi.
2 de marzo de 2012, 02:56, por hefzi-ba
gracias a estos ejercicio pude entender,me servira de mucho ayudar a mis alumnos!!!!
16 de mayo de 2012, 21:02, por katherin fernandez
Muy buena explicación pero donde puedo ingresar para encontrar el mínimo común divisor
12 de junio de 2012, 00:00
ME GUSTO MUCHO LA EXPLICACION DEL PROFESOR NO RECUERDO HABER TENIDO UNA TAN BUENA CLARA Y CONCISA.gracias.
25 de abril de 2013, 00:57, por aleee
muchas gracias me sirvió y muchooo
1ro de julio de 2014, 00:09, por WENDY
PORQUE HAS ESCOJIDO EL 5 NO ES EL 2 PUES
10 de agosto de 2014, 19:18, por alver
cual es el mcm de 90 y 36
................. 8,16 y 32
................. 55,45 y 36
................. 100,150 y 10
................. 16,84 y 13
................. 120,300 y 90
por favor con proceso.gracias
10 de agosto de 2014, 22:17, por dani
En esta web te lo calcula y además con el proceso:
[http://matematicasies.com/ayudame/factoriza/mcm.php]
25 de marzo de 2015, 02:02, por mirian flores
Muchisimas grasias x su ayuda hoy pude explicarle a mi hijo q no entendia mil grasias x una explicasion tan fasil de entender
20 de abril de 2015, 22:10, por eyleen
sera que me puedes decir el mcm de 139 200 12 y 145 22 75
16 de agosto de 2015, 16:02, por Joel de la cruz jimenez
Gracias, por aportar y compartir sus conocimientos sobre todo a la juventud, porque la verdad muchos no saben de matemáticas y todos le hechan la culpa a los maestro, cuando la responsabilidad es de todos, maestros,papas y alumnos, ya que ahora tenemos la oportunidad de contar con internet no como en otros tiempos que no había como investigar pero que sin envargó aprendíamos mas, gracias a la exigencias de nuestros padres y maestros
27 de octubre de 2015, 19:26, por cristian
muchas gracias gracias a esto me saque mi carrera de arquitecto eternamente agradecidoo
25 de marzo de 2016, 20:07, por josè angel
excelente explicación, estaba confundido, pero sus ejemplos clarificaron mi mente, gracias
29 de junio de 2016, 00:00, por Niico Morales
Esto está mall !!
Porque 2 a la 3 es 16 !!
2x2=4 4x4=16
10 de agosto de 2016, 20:39, por carlos
me parece de mucha ayuda gracias de verdad por que con su ayuda pude explicarle a mis hermano el m.c.m gracias
2 de agosto de 2018, 03:30, por José Villa
Por favor ayúdame con esto dos problemas
Hallar el mínimo común múltiplo de 72-63-75-
Y el mínimo común divisor 96-160-42 por favor es un deber de mi hijo contesté pronto
18 de mayo de 2011, 00:34, por Joana
gracias por la explicación, fue bastante clara y especifica y muy entendible. gracias nuevamente
18 de mayo de 2011, 05:36
Gracias muy buena la explicaciòn,voy a poner esta pàgina en mis favoritos.
24 de mayo de 2011, 19:15, por tev
No se si es una buena explicaciion pero no entendii como hay que buscar el mcm y el mcd ! (aunque no lo expliq) pero igual muchas graciias por hacerme quedar como una reverenda Boluda y perder el Valiioso Tiempo
25 de mayo de 2011, 17:27
TEV: Lo che natura non da, salamanca non presta.
28 de mayo de 2011, 19:43, por Chaplin
No seas Tan hueca... y si no entendiste si sos una reverenda boluda...., sentite sentite porque lo sos!!!
4 de agosto de 2011, 01:41, por LIDA SUSANA
ES .MUY FACIL EL MINIMO COMUN MULTUPLO ES PAN CAMIDO
17 de noviembre de 2011, 16:26, por ana
para tanto es ????
28 de mayo de 2011, 21:58, por *..Carmi..*
ehh la verdad algo entendi osea ubiera estado mas bueno qe fuera algo + especifiico y con la explicacion pero buee en algo ayudo..bss..
29 de mayo de 2011, 23:36, por luana
la explicasion vista en el viedo estuvo muy concreta y sencilla
1ro de junio de 2011, 15:25, por luisa marcela
jum yo no entiendo como sacar el resultado pero graxias
7 de junio de 2011, 00:42, por nicole
El mínimo común múltiplo(M.C.M)de 2 o mas números es el menor múltiplo común a dichos números ,además es distinto de cero. Para hallar el mínimo común múltiplo se divide cada número sucesivamente entre 2 (sacamos mitad), entre 3 (sacamos tercia),entre 5 (sacamos quinta),etc.Hasta que quede solo uno y luego multiplicamos, el resultado es el mínimo común múltiplo
30 de mayo de 2011, 22:39
muy buena la explicacion . gracias
31 de mayo de 2011, 01:38, por victoria echague
no entendi ni papa lo q quizo decir pero buee almenos me saque un 12 grax
31 de mayo de 2011, 16:24, por cesar
bueno muchas grcias por esto me sirvio mucho!!!!!!!
2 de junio de 2011, 10:31, por Cris :)
Estaaaaá genial!
mil gracias ;)
8 de junio de 2011, 02:13
genialll!!!!! me encanta
8 de junio de 2011, 03:50, por laly
muy buena la explicacion,clara y concisa,gracas!,me resulto de ayuda para darle una mano a mis nietos!.
10 de junio de 2011, 03:28, por Manuel
Si me pudieran explicar de donde sale lo que esta en los recuadros lo demas creo comprenderlo bien, Gracias.
Atte. Manuel
15 de agosto de 2011, 00:10, por GINA
ESTA MUY DICACTICO, LE AGRADESCO SU EXPLICACION. `PARA LOS QUE NO ENTIENDEN REPITAN EL VIDEO Y PRESTEN MAS ATENCION Y LOS DETALLES ESTAN SOLO CAPTALOS.
SUERTE
AHORA EXPLICA MAS DETALLES PORFAVOR COMO SE HACE CON NUMEROS PRIMOS Y COMO CUANDO SON COMUNES? COMO SI LOS CONVINAN.?
TAMBIEN LOS DOS METODOS ARBOLITO?, ABREVIADO? DIRECTO, EN MIS TIEMPOS SOLO HABIA UNO Y PUNTO AHORA A MIS HIJOS LE ENSEÑAN MAS COSAS Y SOLO ES 4TO PRIMARIA,
GRACIAS POS TU AYUDA.
BYE
7 de agosto de 2015, 13:01, por micaela
Jajaja yo no entendí nada
10 de junio de 2011, 06:22
PARA EL SEGUNDO METODO DE M.C.M DE DONDE SACA LOS NUMEROS 525,126,50. ME LO PODRIAS EXPLICAR, GRACIAS. LO DEMAS ESTA MUY BIEN AUNQUE TE CRITIQUEN. NO ENTIENDEN NI DANDOLES PASTO,DE NUEVO MUCHAS GRACIAS POR SACAR DE TU TIEMPO.
13 de junio de 2011, 03:11, por Mariel
Muy buena explicacion, gracias me simplificaron la forma de como a mi hace muchos años, me lo habian explicado, ahora le puedo enseñar a mi hijo esta forma mas simple de lograrlo.
14 de junio de 2011, 03:17, por paola
muy buena la explicación, muchas gracias a mi hija le encanto y entendió el m.c.m. con mucha facilidad y pudo despejar todas las dudas que tenia. gracias
15 de junio de 2011, 01:49
muy pero muy bueno esto¡¡¡¡¡ che la verdad que me sirvio mucho despues agan uno de maximo comun divisor que lo entiendo mas o menos
3 de julio de 2011, 17:47, por alexandra
gracias la pude entender recien tengo 8 años y ya entiendo de multiplos ahora si puedo ser inteligente jeje
yo tengo 12 años y para la evaluacion la pude terminar jeje
23 de octubre de 2011, 11:31, por rubia
yo tambien tengo 12 años y lo entendi ala perfesion muxas grasias 23-octubre del 2011 xao....
15 de junio de 2011, 20:43, por dinfantesp
Muy bueno de verdad
17 de junio de 2011, 02:50, por Tomás
Muy buena explicación ,mañana tengo una prueba y esto me dejó 100% entendido ... GRACIAS CAPO ,ME RE SIRVIÓ !!!
17 de junio de 2011, 05:04, por Jorge
C= Bnn VakaNa EzZoO ZiGaN Asi Qee LeeZz Ese Bnn A ToDoz Los EsTudianTeZz ;)
23 de junio de 2011, 18:27, por Rubén
Compañeros esta es una pagina educativa, por favor cuiden la ortografía, escriben cosas que dan pena, sin intención de ofender a nadie.
29 de abril de 2015, 23:55, por damian
olle cual es el minimo comun multiplo de 72,108,60 por favor
27 de junio de 2011, 06:15, por matevesa
los felicito muy bueno el video, explican de manera muy clara, pero necesito crear una situacion donde se utilice el m.d.c de 72, 120; y lo mismo con estos numeros 18, 30 y 45....es para el taller de mi hija de 5 grado; agradezco toda ayuda. Dios les bendiga!!!!
27 de junio de 2011, 08:19, por elizabeth
Ohhhh!!!! exelente!!! lo entendi perfectamente!!!
es maestro por q lo explica de una manera tan clara no te revuelve felicidades para la persona q lo explica y muchas pero muchas gracias!!!! att: lizy
29 de junio de 2011, 04:59, por elisa
muchas gracias mi hijo lo entendio muy bien ,sigan asi.
15 de octubre de 2015, 22:48, por DS
M.C.D HOLA COMO ETAN
30 de junio de 2011, 18:41, por Nancy Gonzalez
Le agradezco mucho su explicacion soy una madre de 31 años y la verdad ya no muy me recordaba, mi nena esta viendo este tema pero se le dificulta un poco pero con este asombroso video tema concluido.....
Gracias por la ayuda
4 de julio de 2011, 00:18
muchisimas gracias, excelente la manera como se explican los temas,
10 de julio de 2011, 21:37, por lee
Me encanto.Ahora lo tengo mucho mas claro, muchísimo mas.
11 de julio de 2011, 06:08
Excelente explicacion, muchas gracias
12 de julio de 2011, 02:04, por Rigoberto Lara
Es excelente la forma de plantear y desarrollar el tema, mi niño de cuarto grado lo comprendió perfectamente.
13 de julio de 2011, 00:21, por Luiisa VerGara! =D
MuChas Perooo MuChaas GraCiiias!! ... =D .. Lo EntenDii A La PerFecCiion & El Viideo!! Awww GeniiaL MuChas Graciias!! .. Estuvoo Ree Cool!! ... SiiGan Asii! =) GraCiias Peroo MiiL GraCiias!* :D . :D ... AtT: LuiisiiTa! ;)
14 de julio de 2011, 01:24, por coby
gran ayuda para el colegio yo ya me habia olvidado como hacerlo y me saco de apuros con mi hijo
15 de julio de 2011, 22:19, por gerson
mis respetos exelente explicacion, me quito el sombrero para saludarlo gracias, muchas gracias
7 de septiembre de 2011, 01:09, por roci
grasia por el comentario yo lo baje
16 de julio de 2011, 01:34, por Gabriela
Excelente explicación, mis felicitaciones al profesor, mas claramente imposible!!!!!! Sería interesante con ocer el nombre del docente. Muchas gracias!!
16 de julio de 2011, 22:51
hola porfavor necesiito que me resuelvas este problema:
Por una parada pasan estas 3 lineas de colectivos:
El azul: Pasa cada 10 minutos
El amarillo: Pasa cada 15 minutos
El rjo: Pasa cada 20 minutos
Pasaron los tres juntos a las 10:15 de la mañana. ¿ Volveran a pasar juntos antes de las 11:00?¿Como lo sabes?
24 de julio de 2011, 23:24, por anonimo
basta con calcular el mcm de 10, 15 y 20, para saber cada cuanto se encuentran las tres rutas. evidentemente cada 60 minutos.si a las 10 y 15 pasaron juntos, no es posible que vuelvan a pasar antes de las 11.
1ro de agosto de 2011, 04:59, por MArcelo liebana
A las once en punto pasaran los tres colectivos,ya que el rojo pasa cada veinte minutos y recien se cruzara con los otros dos a esa hora.
17 de julio de 2011, 17:03, por gabo
Muchos éxitos y felicitaciones, excelente la forma de explicación a los alumnos
25 de julio de 2011, 01:14, por jessica soto
por fa. colaborenme con este ejercicio.
en una autopista, cada 20 km se encuentra un telefono, cada 45, un restaurante y cada 30 una estaciòn de gasolina. si en un mismo lugar el conductor encuentra los tres servicios, ¿ despues de cuantos kms encontrarà nuevamente los tres servicios a la vez.
25 de julio de 2011, 19:09, por camii
muchisimas gracias! yo necesitaba entenderlo y ya lo entendi! tienen una muy buena forma de explicar :)
27 de julio de 2011, 17:30, por fahuma
Excelente video, muy bien explicado y bien datallado. Mil gracias.
29 de julio de 2011, 03:06, por diego
Realmente muy didactico, nos enseñaron a los dos. sigan asi, muchas gracias!!!!!!!!!
1ro de agosto de 2011, 04:53, por MArcelo liebana
EN verdad nos ha sido muy util para terminar la tarea del colegio de mi hija,ya que ni recordaba como se hacia,Muy bien explicado y al docente mis felicitaciones,gracias
7 de septiembre de 2011, 20:53, por daniel damonte
grasias pase un de grado con eso
1ro de agosto de 2011, 05:02, por MArcelo liebana
Excelente explicacion,nos sirvio para poder resolver el problema de mi hija en la escuela ,ya que no recordaba el metodo para resolverlo.Muy didactico,muchas gracias.
2 de agosto de 2011, 12:52, por boegie
Muchas gracias por la explicación,no recordaba como se conseguía el m.c.m y ahora lo he entendido a la perfección.
Muy buen vídeo.
6 de agosto de 2011, 01:57, por ger
Felicitaciones, muy buena explicacion, les agradezco su gentil colaboracion.
7 de agosto de 2011, 12:22, por bety 5.000
me encanta este video es muy bueno para aprender y fijarse en las dudas que tengas 1.000 gracias .
7 de agosto de 2011, 15:06
gracias me estan enseñando recien esto y no lo estendia estou en sexto de basica
9 de agosto de 2011, 02:21, por wester
me encanto ya que el mcm no lo entendia bien y espero que me ayude para la prueba, lo que mas me gusto fue el video estuvo genial
9 de agosto de 2011, 13:05
Muchas gracias por el video me sirvio de mucho ya que tenia que hacer un trabajo de verano y no recordava como operar el m. c. m.
11 de agosto de 2011, 03:02
Muchisimas gracias por este video,recien acabo de comprender el m.c.m :D
11 de agosto de 2011, 13:50, por Pep
Muchas gracias Maestro! Eres de gran ayuda para esos padres que hacemos de maestros con nuestros hijos en las tareas escolares veraniegas! El video es muy esclarecedor! Definitivo para el entendimiento de las operaciones.
Enhorabuena por la iniciativa.
Muchas gracias de nuevo.
Pep
11 de agosto de 2011, 15:54, por Manu
Que video tan bueno!!!! muchas gracais :)
14 de agosto de 2011, 19:57, por Echa Muni
ES MUY DIDÁCTICO, SE DEJA ENTENDER, MUY AGRADECIDO MAESTRO
16 de agosto de 2011, 19:01, por dote
Muy bueno y didactico! Gracias
17 de agosto de 2011, 23:34, por Samira
hola me sirvió mucho la explicación gracias estuvo muy buena
18 de agosto de 2011, 00:52, por Chimin
Muy buen el video ayuda muchisimo para realizar una sesion magistral
18 de agosto de 2011, 00:56, por Chimin
Muy bueno el video esclarece ideas para realizar una sesion magistral.
18 de agosto de 2011, 23:48
Cual es el MCM entre 8 y 7?
19 de agosto de 2011, 23:14, por yami
factor 18 36 m.c.m
24 de agosto de 2011, 22:30, por ROCHIII
gracias x suu video mañana debo rendir matematica , y no le entendia el m.c.m y m.c.d GRACIASS!
25 de agosto de 2011, 02:23, por cosme fulanito
el mcm entre 7 y 8 es 56. 7 es numero primo no se factorea y 8 es igual a 2^3. mcm=7 * 2^3=7*8=56
30 de septiembre de 2011, 00:13, por katita
el minimo comun multiplo entre 8 y el 7 es 56
31 de agosto de 2011, 11:14, por leo messi
muchas gracias me a servido mucho para averiguar el mcd
5 de septiembre de 2011, 07:26, por pecas
mi duda es por q el dos al cuadrado sale 8¡¡????
13 de septiembre de 2011, 02:57, por Maribel
No es el 2 al cuadrado, es el 2 al cubo o sea, al ser al cubo (3) se multiplica 2x2=4x2=8. Ahí ya multiplicaste el 2 tres veces, o sea al cubo.
6 de octubre de 2011, 01:39, por alexandra
no puede ser el dos al cuadrado y k salga ocho es imnaudito
19 de mayo de 2017, 20:15, por paola parra
hola amigo no entiendo mcm
31 de agosto de 2011, 19:35, por carol
la verdad esq esta muy bie explicado yo tia q hacer un ejercicio i no me acordaba de hacer el m.c.m. y lo explica muy se entiende a la primera.¡¡ muchas gracias
7 de septiembre de 2011, 21:05, por daniel damonte
gracias me ayudo un monton pase de grado
30 de septiembre de 2011, 21:20, por arleni castañeda
cual es el m.c.m entre (20,50,70)
6 de octubre de 2011, 01:44, por alexandra
el minimo comun multiplo es 700
7 de septiembre de 2011, 01:48, por afortunada
QUE BUENO, ME RESULTO SUPER ENTENDIBLE ESTA EXPLICACIÓN, NUNCA ME HABIA PARECIDO TAN FÁCIL UN EJERCICIO MATEMATICO
8 de septiembre de 2011, 16:15
¡Genial! ¡muy bueno!
21 de septiembre de 2011, 22:08, por Anonymus
Definitivamente bueno gracias!! PORFAVOR podrias enseñarme como pasar de una fracción mixta a una fracción ordinaria
GRACIAS,
Somos una LEGION somos ANONYMUS
10 de abril de 2012, 18:15, por Cristiano Ronaldo Dos Santos Aveiro
Agradecemos muito Mourinho foi útil
9 de septiembre de 2011, 01:06, por Monica
Esta super.... le eh entendido gracias!!! ni a mi propio prof le habia entendido jeje pero afortunadamente extiste el internet.....
20 de septiembre de 2011, 19:18
es muy facil de entender y sencillo.
esta muy bien
21 de septiembre de 2011, 19:24
GRACIAS ESTUVO GENIAL Y LO MEJOR ES QUE ENTENDÍ DE MARAVILLA
28 de septiembre de 2011, 04:03, por jose
gracias al fin entendi muy bien y pude dar mi examen de maravilla
30 de septiembre de 2011, 16:26, por jazmin
esta bueno graxias
6 de octubre de 2011, 00:24, por SOLLOY
REALMENTE ESTA MUY BIEN EXPLICADO.........LOS FELICITO!!!!!!!SIGAN ADELANTE.....MUY BUENO......EN SERIO Q MUY BUENO......
6 de octubre de 2011, 19:41, por Yo no entiendo nada
Muy Bien explicado!!
Pero..La segunda parte no es el M.C.D???
O es eso o es k no lo has explicado muy bien xk yo no lo e entendido!!!
:S
6 de octubre de 2011, 19:42, por Yo no entiendo nada
Bueno...No me e enterado de nada!!!!
20 de octubre de 2011, 15:38, por Juuu...
Qué No Entendes Yo Te Lo Explico.
21 de octubre de 2011, 04:52, por edecam
Yo creo que sí: he es del verbo haber, muy diferente a la vocal #2 que es la e, la cual está dentro del grupo de las vocales abietas que son: a,e,o y el grupo de la cerradas que son: i,u. Creo que con esto mejorarás al momento de escribir lo brillante que eres en matemáticas. Ves creo que si te enteraste de algo... Saludos
14 de octubre de 2011, 18:30
estoy en la universidad y nunca en mi vida habia entendido lo que era el mcm :D, y tal vez si lo sabia hallar, pero no sabia lo que era en realidad.
con este video xfin lo entiendo y me aclaro muchas dudas. esta muy buena la explicacion
16 de octubre de 2011, 14:49, por Jorge
Excelente video. Me ha servido para entender el concepto perfectamente. ¡Gracias!
18 de octubre de 2011, 15:31, por JAIME-GUADAIRA
GRACIAS , MARAVILLOSA EXPLICACIÓN LO ENTENDÍ DE MARAVILLA SALU2
19 de octubre de 2011, 16:05, por xDD
yo lo di en el colegio.
y ahora en el instituto me ha servido para algo..
y el video tambien gracias
26 de octubre de 2011, 19:50, por Maggie
muy buena la explicación...tenia deveres y al fin podre terminar xD (lo que pasa por no atender en clase)
20 de octubre de 2011, 18:56
esta superrr cheverisimo.... gracias..
la mejor forma de aprender....
23 de octubre de 2011, 11:44, por rubia
muchas gracias lo entendi a la perfecion estoi en 6tode primaria y lo he entendido de maravilla ha y no entiendo por q la gente pone "por fabor rresolvedme esto 12 34 56"NOOO resolvedlo bosotros mismos joder q no lo necesitamos nosotros si no tuuuuuuu
29 de octubre de 2011, 01:59
ME ENCANTOO EL VIDEO!! GRACIIAS AHORA ENTIENDO MUXO MEJOR!!! SALU2!!
25 de octubre de 2011, 23:46, por YS
BUENO,quiero darle las gracias por haberme enseñado sobre este tema,lo entendi a la perfeccion. GRACIAS Y DIOS LO BENDIGA
27 de octubre de 2011, 21:41, por Mjimenezgo
¿Como podríamos calcular el multiplo comun inmediato al minimo¿
30 de octubre de 2011, 02:47, por rosario
excelente herramienta yo lo utilice para el repaso de matematica en la universidad,gracias por tan practico material, me aclaro rapidamente las dudas que tenia.
8 de noviembre de 2011, 18:21
es el número tan famoso como el 100
1ro de noviembre de 2011, 14:38, por nakary almeida
millllllll gracias me enseño demaciado*-*
3 de noviembre de 2011, 19:29, por 1ºESO.
Solo una cosa en lo ultimo como se que 2 a la 3 son 8 ? es lo que no entiendo pero lo demás muy bien gracias.Un saludo.
:)
5 de noviembre de 2011, 16:43, por espano13
porque 2 a la 3 es igual a 2x2x2=4x2=8
4 de noviembre de 2011, 03:27, por pato
de verdad me ayudaste mucho sobre todo cuando se termina en 7 el mcm muchas gracias
6 de noviembre de 2011, 02:00
Considero muy interesante y útil el material, pues soy profesora de Lengua Castellana y Guaraní y no sabía como explicar el proceso de manera sencilla, pero después de acceder al mismo me fue más fácil ya que también debía traducirlo al guaraní.
Desde ya estoy muy agradecida.
Lidia
10 de noviembre de 2011, 04:02, por ALEJO
Al fin lo entendi... o mejor sería decir, al fin lo recordé. Mira, he estado buscando esta información hace rato y es en esta página, en donde lo he encontrado explicado de la manera más sencilla (en otras partes se complican demasiado). Mil gracias.
13 de noviembre de 2011, 03:08, por rochi
buenisimo al fin lo entendio mi hija y yo que soy su mama gracias¡¡¡¡¡¡¡¡¡¡¡¡¡¡¡¡¡¡¡¡¡¡¡¡¡¡¡¡¡
15 de noviembre de 2011, 18:01, por evis
gracias es muy facil decomprender con su metodo
16 de noviembre de 2011, 01:42, por yo
estabamos confundidos, pero gracias a su apoyo mi hijo va a sacar muchos dieces
15 de noviembre de 2011, 22:33, por isa
excelente método, estaba más encartada....despuás de tantos años sin practicar....esto se olvida....muuuuuchaaassss graciaaas!!!
25 de noviembre de 2011, 00:57, por josue
buenísimo! los felicito ,gracias boy a sacar puro 20
27 de noviembre de 2011, 13:49
muchisimas gacias
29 de noviembre de 2011, 00:48, por LIZ
EXCELENTE LA EXPLICACION ME SIRVIO DE MUCHO . GRACIAS EHH SIGA ASI NOS AYUDA BASTANTE PARA PERFECCIONAR NUESTRA MATEMATICA DE VERDAD MUCHAS GRACIAS.
29 de noviembre de 2011, 00:51, por LIZ
muchas gracias ahora mi hija va entender mucho mejor las fracciones y el m.c.m muchas gracias.
29 de noviembre de 2011, 20:12, por Nitza Rivas
muy buena la explicacion me gusto muchisimo, ahora cada vez que tenga dudas con la ayuda en las matematicas de mi hijo vengo a esta pagina para poder responderle las preguntas que me haga acerca de matematicas, gracias por darnos este apoyo.
4 de diciembre de 2011, 11:15, por MarquiriusXDXDXDXDXDXD
Eres un gran profesor pero eso si cortate las uñas que las tienes mas largas que un gato jajaja GRACIAS por todo
5 de enero de 2012, 17:22
Gracias, me as facilitado el estudio. Y eres un gran profesor.
4 de diciembre de 2011, 15:49, por ruben
muchas gracias soy un niño de 12 años y no lo entencia tambien gracias a ora lo entiendo perfecto :)
8 de diciembre de 2011, 13:21, por Mari Carmen
Gracias por la expplicación..soy una madre que estaba en apuros..ya no recordaba como se hallaba..hace años que no estudio..y esto me sirvió para ayudar a mi hijo y de paso refrescar la memoria.
28 de diciembre de 2011, 01:48, por Adrian
GRACIAS POR ESTE ARTICULO ME SIRVIO MUCHO PORQUE TENGO 13 AÑOS Y VOY EN LA SECU ME AYUDO EN MI TAREA DE MATE GRACIAS
MUCHOS SALUDOS
28 de diciembre de 2011, 19:01, por paula piñeiro
soy una mamá de alumna de sexto de primaria y me había medio olvidado de cómo calcular el mcm y el MCD. gracias a vosotros laura y yo hemos aprendido un montón. gracias.
30 de diciembre de 2011, 19:45, por daiana
A mi en la primaria me enseñaron un procedimiento diferente a ese pero supongo que da el mismo resultado.
ejemplo: mcm de 15,12,9.
15,12,9 ! 2 supongamos que estos signos (!)
15 6 9 ! 2 forman la rallita que separa los
15 3 9 ! 3 numeros esque no me salio la
5 1 3 ! 3 rallita.
5 1 1 ! 5
1 1 1 ! MCM:180
para sacar el total multiplique todos los numeros que estan del otro lado de la linea osea que multiplique 2x2x3x3x5:180.
3 de enero de 2012, 00:28, por JORDI Bustos
Gracias!! menudo peso de encima me e quitado al ver este video, lo e entendido a la primera y podré ayudar a mi hijo Marc a entender el método y poder ponerlo en practica para su próximo examen, gracias
9 de enero de 2012, 03:51
ESTA EXPLICACIÓN ME SIRVIÓ MUCHO EN MI TAREA GRACIAS
10 de enero de 2012, 20:07, por meli
no puedo resolver este problema " se tienen tres extensiones de 425, 800 y 950 metros cuadrados de superficie, respectivamente y se quiere dividir en parcelas iguales.¿Cual ha de ser la superficie de cada parcela para que el numero de parcelas de cada unu sea el menor posible?
2 de febrero de 2012, 19:36
Tienes que hacer el mínimo común múltiplo de 425, 800 y 950
11 de febrero de 2012, 17:42, por jvarco
mediante el mínimo común múltiplo, no podrás solucionar este problema, pero hallando el máximo común divisor, si. y sumando los restos de cada número, tendrás la cantidad de parcelas
13 de enero de 2012, 14:42, por andres
grasias explicas mejor que mi profesor el dice todo muy rapido y es dificil entenderle
31 de enero de 2012, 22:03, por jose
630 1200 175 resolver en minimo comun multiplo esas cantidades
30 de enero de 2012, 20:24, por GUILLE
Eres un crack. Eres el Messi de las mates. Muchas gracias
13 de febrero de 2012, 19:51, por sory
lo eh entendido mas o menos pero me sirvio para que mi madre se quedara menos preocupada
22 de febrero de 2012, 00:26, por Danilo
Gracias, excelente explicación, refresque mis conocimientos y a la par le sirvio a Manuel (mi hijo) en sus tareas de 6to grado. Desde Venezuela con afecto.
Saludos
23 de febrero de 2012, 17:52, por Beto Vega
Por explicar de manera tan clara, su tono de voz y a un ritmo ideal para facilitar la comprensión del porqué y el cómo del método para conseguir el m.c.m. Un saludo.
6 de marzo de 2012, 15:20, por Patricio
Muy buena explicación y utilizando ambos explicaciones....distintos caminos para llegar al mismo resultado
8 de marzo de 2012, 23:53, por Erika
Muy bien, ya se me había olvidado cómo calcularlo, pero ahora creo que hasta lo comprendí mejor... :)
20 de marzo de 2012, 17:05, por diana flores
hola me llamo diana me gusto el video de mi clase fui la unica que le entendio por que me puse aver este video para entenderle gracias
29 de marzo de 2012, 00:10, por maria gomez
gracias mi nombre es marian y me gusta mucho
21 de marzo de 2012, 01:39, por luizandra
Que excelente explicación!!!. De gran ayuda!. Desde Venezuela, las Gracias!.
22 de marzo de 2012, 23:18
espectacular que buena explicacion
24 de marzo de 2012, 18:27, por Salocin Anatsep
Gracias Men ma ayudaste bastanteeeee
25 de marzo de 2012, 20:18, por Carolina Sáez
Buenísimo... Excelente para los padres que estudiamos con nuestros hijos, así podemos ayudarlos mejor...
21 de abril de 2012, 23:42
Lei tus palabras y sonaron como si fueran mias. Tambien me ayudaron para ayudar a mi hija.
26 de marzo de 2012, 02:48, por francisco
graaaciasssssssssss me ayudo mucho
27 de marzo de 2012, 18:25, por Ynés Hernández
Excelente explicación la del Profesor, utiliza estrategias didácticas claras y concisas.
4 de abril de 2012, 21:51
Esta página web es la única en la que he encontrado lo que buscaba.
Gracias*
:P:P:P XD XD
8 de abril de 2012, 02:54, por FAAAACU
MUUUY BUENO,VOY A 7MO Y ME SIRVIO MUCHOO¡¡¡SALUDOS DESDE ARGENTINA
6 de noviembre de 2012, 22:17
no sabes nada ni como se aze primero escucha i despues aze
12 de abril de 2012, 22:04
bastante bien
10 de mayo de 2012, 00:25, por liliana
felicidades, y gracias por compartir sus conocimientos, es usted muy claro, y agradable escuchar.
22 de agosto de 2012, 02:22, por aide
fue muy lindo lo que dijistes te
aaaaaaaaaaaamo mmmmmmmmmmmmmmmmmmmmmmua
16 de mayo de 2012, 00:12, por Anoymous
excelente ya que estoy estudiando solo y tengo 11 años me esta sirviendo mucho de poquito a poco voi entendiendo gracias :) .por Lukas a las 18:11 compartir-me gusta-
18 de mayo de 2012, 00:13, por alfredo
UNA COMPAÑIA DE BUSES HACE VIAJES A QUETZALTENANGO Y SALE UN BUS CADA 4 HORAS ,OTROS CON DESTINO A ZACAPA SALEN CADA 3 HORAS .SI SALEN LOS DOS ALAS 7 DE LA MAÑANA , ¿A QUE HORAS VOLVERAN A A CONINCIDIR EN LA SALIDA ?
27 de junio de 2012, 04:52, por junior
estuvo claro la explicación y me ayudo con mi tarea.
5 de julio de 2012, 23:28, por nenin
de todas las explicaciones que he leido, esta ha sido la mas clara, me ayudo bastante
15 de julio de 2012, 21:06, por Micaela Amarilla
Gracias estuvo muy bueno la explicación mediante ustedes aprendí la lección me ayudaron bastante con la tarea
1ro de agosto de 2012, 01:39, por Luana
Te agradezco que me hallas explicado entendí muy bien el concepto la verdad que sos muy bueno como profesor, mi profesora explico pero no le entendí nada no digo que no halla explicado bien lo que pasa es que mis lindos compañeros no me dejan escuchar y la verdad me salvaste la vida porque mañana tengo un parcial
Gracias sos el mejor :)
9 de agosto de 2012, 02:46
Muy bueno! Sirvió mucho la explicación
13 de agosto de 2012, 21:27, por ZULAY G. ALVARADO R. DESDE VENEZUELA
BUAOHHHOOOOHH..... SE LE DA GRACIAS A DIOS (PRIMERO) PORQUE TENEMOS ENTRE NOSOTROS MAESTROS DE BUEN SENTIDO EN LO PROFESIONAL PARA EDUCAR, GRACIAS FUE SENCILLO Y ESPLÍCITO. ME ENCANTÓ... LO IMPORTANTE QUE AL PASAR DE LOS AÑOS NO CAMBIE USTED, SE LE QUIERE.
21 de agosto de 2012, 01:10
felicitaciones profesor por la calidad del trabajo!!. me ayudo mucho! gracias. gustavo
3 de septiembre de 2012, 12:30, por alez
me ayudo mucho estaba desesperado
10 de septiembre de 2012, 01:23, por bilsam
buena bro mas claro que el agua, lei varios art sobre como sacar el mcm y este mas claro imposible muy sencillo y directo al asunto no como en yahoo respuestas xd no ps gracias solo eso
11 de septiembre de 2012, 15:31, por patri
muchas gracias genial explicado
15 de noviembre de 2012, 18:36
ami tambien y a todos los demas mensajes.
4 de diciembre de 2012, 04:44, por carlos
me sirbio mucho
15 de diciembre de 2012, 16:15, por Dmitry
Me a gustado mucho esto de los múltiplos aunque no es lo que estaba buscando
8 de febrero de 2013, 07:13, por EILLEN
ME ENCANTO LA EXPLICACIÓN SOLO UN DETALLE. . ¿HAY ALGUNA FORMA DE COMPROBAR QUE ESTE CORRECTO MI RESULTADO?
8 de febrero de 2013, 07:59, por dani
Puedes comprobar que tu resultado es correcto en la siguinte web: http://matematicasies.com/ayudame/f...
13 de junio de 2013, 23:35, por Tabitha
Si, con una calculadora científica, haces la comprobación .
18 de marzo de 2013, 07:03, por ale
lo unico k no entendi y trate de resolver el problema es por k
en la cifra 2 elevado 3 = 8 a mi meda 6 y
en 3 elevado 2 me da 6 y austedes 9
por favor me pueden explicar a mi meda
6.6.5=180
19 de marzo de 2013, 00:26
el exponente "3" del numero 2 son las veces k vas a multiplicar el 2 [2x2=4x2=8] y el exponente "2" del numero 3 las veces k multiplicaras el 3 [3x3=9], si tubieras el 5 elevado a la 4potencia seria [5x5=25x5=125x5=625]
23 de marzo de 2013, 00:15, por TataPapi
2 elevado a 3 es una potencia. La base de esta potencia es 2 y el exponente es 3. Significa que para saber el valor de esta potencia se debe multiplicar la base (2) tres veces por si misma, o sea, 2x2x2 = 4x2 = 8
Ahora, 3 elevado a 2 significa 3x3 (la base se multiplica 2 veces por si misma, bueno, y 3x3 = 9.
15 de abril de 2013, 07:03, por Miili
2 elevado 3 es; 2.2.2=8
quizás lo que vos hiciste fue 2+2+2=6
3 elevado 2 es; 3.3=9
quizás lo que vos hiciste fue 3+3=6
Siempre que sea potencia se MULTIPLICA el número de ’’abajo’’ la cantidad de veces que el de ’’arriba’’ lo indique.
Espero que te sirva :3 un beso.
13 de junio de 2013, 23:32, por Tabitha
Me sirvió mucho el video, y eso que es complicado que yo entienda un tema. Muchas gracias!.
28 de junio de 2013, 15:17, por Luis Chia Verchelli
se multiplica por el mismo numero 2x2x2 2x2-4 4x2-8
lo mismo pasa con el 3 multiplicado 2 3x3-9 y despues agregale 5 queda 8-9-5 que da 360
15 de octubre de 2013, 21:01, por Vickyy!
La Verdad Mee Ayudoo UnaBandda Chicoss!
Sonn Unoss Siomes! IguaL Porqe No Saven naddaaaaaaaaaaaaa!
27 de marzo de 2013, 16:52, por Nelssy
Este vídeo me ayudo mucho.Buena explicacion.excelente profesor.Mil gracias
16 de junio de 2013, 02:50, por roberto
Gracias muy buena explicacion ,mi hijo y yo lo aprendimos correctamente .Desde Argentina
4 de julio de 2013, 12:45, por HIPO
hola me gustaría hacer una pregunta.
Se puede usar el m.c.m para nombres decimales, por favor me gustaría que lo enseñara. GRACIAS.
4 de julio de 2013, 22:18, por dani
No. El m.c.m. no se usa para decimales.
9 de octubre de 2013, 15:07, por oihane
pero yo tengo una duda. como sacas se haze para sacarlo. aver ahy dos filas pues la de la derecha como lo sacas. no lo entiendo, ponerlo mas claro, porfavor.
gracias.
10 de octubre de 2013, 11:16, por dani
Mira la página de factorización:
http://matematicasies.com/Factoriza...
20 de noviembre de 2013, 01:00, por marjorie
como se saca el m.c.m de 19,12,14
23 de mayo de 2014, 04:20, por ZERG
App de apoyo para el cálculo del Mínimo Común Múltiplo y Máximo Común Diviisor
https://play.google.com/store/apps/details?id=tera.ti.minimocomunmultiplo
17 de noviembre de 2013, 13:00
Muy bien explicado, todo al detalle. No me ha quedado ninguna duda, muchas gracias.
11 de diciembre de 2013, 17:10, por Mirta
Hola en el ejemplo en el número 40 ¿por qué se debe utilizar el 5 y no el 2 al cubo? Gracias.
16 de diciembre de 2013, 10:54
Porque ya has cogido el dos al cubo, que es común en el 24 y en el 40.
Aunque da lo mismo coger uno que otro.
Y 5 le coges porque no es común en ningún número
21 de enero de 2014, 22:30
PORQUE YA LO UTILIZASTE EN EL FACTOR 24
4 de marzo de 2014, 00:58, por dana fernanda ledezma gomez
por que no sale el mismo resultado exacto
eso es gracias por su atencion
27 de marzo de 2014, 05:16, por Bri
Este articulo esta guau de perro gracias por ayudarme con la tarea los amo mundo
1ro de julio de 2014, 00:10, por WENDY
NO ERA EL 5 PUES
11 de agosto de 2014, 14:34, por Isabela
No, no se coge el 2, pues ya lo está en el número 24. No se puede coger dos números iguales. Sólo se coge uno de los que tienen la misma base, el que tiene mayor exponente. Si los exponentes también son iguales, que es el caso, se coge uno y ya.
22 de julio de 2014, 02:17, por linda
hola!! quiero saber el minimo comun divisor de 24_42_32 porfaaa pero con procedimiento :(
30 de julio de 2014, 17:33, por juanita
por q al cubo si es del dos ya q se multiplica por 3?????
11 de agosto de 2014, 14:20, por Isabela
No, el 2 no se multiplica por 3. Como es 2 elevado a 3 (también se denomina 2 al cubo) la base, que es 2, se multiplica por sí mismo el número de veces del exponente, que es el 3. En resumen, el 2 se multiplica por sí mismo 3 veces (2•2•2= 2•2= 4•2=8). Espero haberte ayudado en la duda :) Saludos!
31 de agosto de 2014, 13:13, por Ana María
Porque el 2 se repite 3 veces, por eso es al cubo.
14 de noviembre de 2014, 06:16, por maria
cuadrado el 2 y el tres cubo
11 de agosto de 2014, 13:59, por Isabela
La página me ha gustado, porque está bien explicado en el texto y el vídeo ayuda a quién no lo ha entendido a la primera. Me ha servido de mucha ayuda, pues cuando mi profesora lo explicó por primera vez en clase no lo entendí y saber hacer el m.c.m y el m.c.d es fundamental para otros temas. ¡Gracias, de verdad!
11 de agosto de 2014, 14:49, por dani
Muchas gracias Isabela.
Un saludo.
7 de septiembre de 2014, 18:04, por luis sandoval
necesito saber si para halla el m.c.m se puede empzar por 3 luego 2 o 5 asi . o hay un orden especifico. espero sus respuestas
7 de septiembre de 2014, 21:02, por dani
Da igual empezar por el 3, el 5 o el 2, pero lo lógico es empezar por orden: 2,3, 5, ...
14 de diciembre de 2014, 15:25
Se tiene que hacer en orden,primero 2 luego 3,5 y asi con todos los numeros primos hasta que termines de factorizarlos. :)
7 de octubre de 2014, 19:40, por Ma. Teresa
MUCHÍSIMAS GRACIAS
ENTENDÍ PERFECTAMENTE MCM Y MCD. ESTUDIO PREPA ABIERTA Y TENGO 48 AÑOS.
FELICIDADES POR SER CLARO
20 de noviembre de 2014, 20:13, por davidkiller
muchas gracias este video me ayudo mucho
12 de diciembre de 2014, 22:57, por jmlopezprieto@yahoo.es
ANTONIO TIENE ENTRE 40 Y 50 AÑOS, JUSTO EL TRIPLE QUE SU HIJO JULIO, QUE TIENE MENOS DE 15 ¿CUÁNTOS AÑOS TIENE CADA UNO?
Esta prueba se la han puesto a mi hija en un examen de MCD y MCM pero poco la he podido ayudar, si alguien me echa un cabo se lo agradezco. Busco la solución al problema.
Gracias.-
24 de diciembre de 2014, 21:58, por DAVID
Hola, Al decir que Julio tiene menos de 15 años, el problema te esta dando el tope de edad de Antonio, ya que Antonio tiene 3 veces exactas la edad de Julio por lo tanto Antonio no puede tener mas de 45 años porque Julio es menor de 15.
Como la edad de Antonio se encuentra entre 40 y 50 años, y ya sabemos que no es mayor de 45 y ademas debe cumplir la condición de ser el triple de la edad de Julio, la única respuesta posible para cumplir ambas condiciones es la siguiente:
Julio tiene 14 años ya que el triple de 14 es 42 (entre 40 y 50 según el enunciado del problema).
Si Julio tuviera menos de 14, por ejemplo 13 el triple de esta edad (39) no cumple con la condición de que Antonio tiene entre 40 y 50 años.
Espero te sirva
Saludos
David
25 de febrero de 2015, 13:51, por jesus fernandez barreras
Hay una cosa que no entiendo bien, por que en el primer caso cogemos como máximo exponente el 2 al cubo en vez de el tres al cuadrado y en ultimo cogemos el 5 en vez del 2 al cubo.
Muchas gracias.
27 de febrero de 2015, 01:50, por janeth carolina garcia zuñiga
necesito solucionar el siguiente problema agradezco la ayuda....
enrique es un estudiante que planifica parte de sus actividades del mes asi....cada tercer dia practica ciclismo cada quinto dia visita a un amigo y cada segundo dia hace yoga si el mes tiene 31 dias en que fechas realiza las tres actividades
27 de febrero de 2015, 23:26, por dani
Practica ciclismo los días: 3, 6, 9, 12, .. (cada 3 días)
Visita amigo los días: 5, 10, 15, 20, .. (cada 5 días)
Hace yoga los días: 2, 4, 6, 8, 10, ... (cada 2 días)
Para que coincidan las 3 actividades, debe ser un múltiplo de 3, múltiplo de 5 y múltiplo de 2, es decir un múltiplo común a 3,5,2
Si buscamos el mínimo común múltiplo: m.c.m. (3,5,2) = 30 llegamos a la conclusión de que el día 30 de cada mes hace las 3 actividades (excepto en Febrero que no le coincidirían por tener menos de 30 días).
11 de marzo de 2015, 19:08, por isel
son dos formas de calcularlo o solo una? no entiendo por que se muestran dos procedimientos uno solo encontrar cual es el comun y otro donde se realiza todas las operaciones de descosicion y factorizacion y luego se multiplican... ojala puedan aclarar mi duda
11 de marzo de 2015, 19:23, por dani
La primera forma es la que se enseña en los cursos más bajos (cuando se ve por primera vez el m.c.m.). Es útil para entender lo que significa m.c.m.
Sin embargo, cuando tenemos números grandes ese método se vuelve poco rentable (necesitaríamos un montón de múltiplos). Por eso aprendemos el otros método: la descomposición en factores primos.
Al final, cuando ya somo salgo expertos en calcular el m.c.m. usamos:
– para números pequeños: el primer método pero de memoria (sin escribir los múltiplos)
– para números grandes: usamos el segundo método.
Un saludo.
12 de abril de 2015, 02:56, por yesica rosanjela
el lunes 13 de abril del 2015 tengo examen del minimo comun multiplo y el maximo comun divisor nesecito que me ayuden nolo quiero rraspar por favor
{} [->]
18 de abril de 2015, 17:04, por milena
«y si lo que te pide es el mcm de 9,6 ???»
20 de abril de 2015, 21:08, por vanesa
hola estoy buscando la solución a este problema de calcular el mínimo común múltiplo de 46537
25 de abril de 2015, 03:14, por ley la oyuela
Wow fantástico hice el ejercicio y luego necesito saber si estaba y ups malo y excelente escribí el ejercicio y booom hecho y explicado ya soy mayor volví estudiar en linea y estoy out de mar y mil gracias esto es great
5 de mayo de 2015, 05:00, por LISETTE GIL
MEJOR IMPOSIBLE, GRACIAS POR COMPARTIR
27 de mayo de 2015, 15:59, por karina Román
No puedo resolver el siguiente problema
Pedro, Juan Y oscar viajan al interior: Pedro viaja cada 6 dias, Juan cada 8 y Oscar cada 12 dias; cada vez que se encuentran se reunen a comer juntos, si se encontraron el 10 de febrero, ¿Cuándo se volveran a encontrar?
4 de junio de 2015, 00:58, por Un típico estudiante
Muy buena tu explicación 7u7... Gracias a ti pude aprobar
13 de junio de 2015, 20:25, por ivanna
me aydo mucho para mi examen gracias
14 de junio de 2015, 18:12, por katherine
1 2
– + - = cual es l minimo comun multiplo (m.c.m)
4 2
25 de junio de 2015, 17:49, por Joel
no entendi nada
18 de julio de 2015, 18:18, por Angelica Maria Alvarez Jimenez
por favor necesito resolver este problema En el arbol de navidad ponemos bombillas de colores rojas, azules,amarillas .Las rojas se encienden cada 10 seg las azules cada 15 seg y las amarillas cada 8 seg ´Cada cuantos segundos coincidiran todas encendidas Cuantas veces luciran todas juntas a lo largo de 1 hora
30 de julio de 2015, 04:24, por karoll
no entendi
29 de agosto de 2015, 17:33, por angelprogame
muy bueno ;) gracias teacher
16 de septiembre de 2015, 19:20, por Yo
Muy buena pagina ne ha ayudado mucho. Gracias!
20 de octubre de 2015, 00:25, por adriana
Me ha ayudado mucho y me gusta esta es la mejor pagina y les quiero dar las Gracias
20 de octubre de 2015, 00:26, por adriana
y que sigan a adelante
29 de octubre de 2015, 15:00, por ailen
quiero unas actividades para quinto grado de multiplos comun menor pra hacer en la escuelas
{{}}
9 de noviembre de 2015, 17:44, por jose
jajajajajajjajajaja
12 de enero de 2016, 01:05, por Estudiante
Hola,me gustaría saber con precisión como simplificar y complificar fracciones...!!!
Por favor-
Att Estudiante desesperada
24 de enero de 2016, 13:19, por Rosario
Gracias, me ha servido de mucha ayuda......gracias.
2 de marzo de 2016, 20:09, por anderson
no me dieron respuesta
8 de marzo de 2016, 23:28, por juan carlos
quisiera buscar el minimo comun multiplo de 195
10 de marzo de 2016, 22:17, por aidalida garces mosquera
hola como esta si quieren una ayuda achiento
{{}}
3 de abril de 2016, 22:48, por orlando barreto
hola...... me ayudo bastante la información.
19 de abril de 2016, 17:34, por Claudia
Está perfectamente, excelentemente, bien explicado. Justamente me salva la vida para explicárselos a mis niños de sexto año. ¡Muchas gracias!
4 de mayo de 2016, 04:55, por ._.
Muy buena explicación, me ayudo mucho, Gracias :)
18 de mayo de 2016, 02:18, por Maira Alejandra Gomez Lopes tengo 17 años
Ola como saben me llamo maira Alejandra gomez lo pez les doi las gracias por la imformacion de el cuestionario pero quiero el favor de que me den el resultado de 20 , 15 10 , si pueden gracias i perdona la ortografías Dios los bendiga.
24 de mayo de 2016, 01:56, por luis elvis
hola gracias me sirvio mucho una pregunta en el 1er metodo porque tengo que multiplicar en 24 por 525 en 100 por 126 y en 252 por 50? porfavor necesito la respuesta hoy
24 de mayo de 2016, 18:27, por Antonio Recio
Me ha ayudado mucho .
1ro de agosto de 2016, 18:33, por anyelina
esta mmuy bueno muy bien esplicado yo no lo esntendia yhaora si mañana cuando balla a la escu voy a pedirle mi prueba a mi profe poque nolo esntendia y lo hise mal y ya mismo me pongo a estudiar muy buen ejemplo gracias
16 de agosto de 2016, 02:56, por Alexa
Por favor me pueden explicar él m.c.m de:
10-12-36
18 de agosto de 2016, 04:17, por aliciamar
gracias por explicarlo ta bien soy una persona adulta , que tengo de vista a mis nietos y como siempre los pongo a repasar a mi ya se me estaba olvidando mi hijo tiene 22 años busque y hasta encontrarlo ,gracias ya recordé todo, siga así por favor ponga ejercicios para reforzar el aprendizaje , gracias y que dios lo bendiga
31 de agosto de 2016, 02:26, por gabriel
cual es el minimo comun multiplo 10,14,98
7 de febrero de 2017, 17:58, por Paula Diaz hidalgo
Me sirvió explica bien las operaciones básicas
29 de marzo de 2017, 00:06, por maria gabriela
me ayudo. GRACIAS
30 de marzo de 2017, 06:56, por luz stella sanchez gomez
MARAVILLOSO , MIL Y MIL GRACIAS .
28 de abril de 2017, 21:47, por JOSE MANUEL MEJIA CORDOBA
Matematicas ies.com es como tener el maestro en casa es una maravilla yo tengo poco estudio y entendi perfectamente muchas gracias por su aporte.
28 de septiembre de 2017, 22:25, por leonela
me encanto me copie mucho hello no te equivoques yo soy gafa adios no te olvides mio
17 de noviembre de 2017, 21:16, por Lupe
Es muy bueno Felicidades✅☑☑❎❎
4 de diciembre de 2017, 17:02, por Raúl
como puedo hacer el m.c.m. si lo quiero calcular en el momento y sin tener que hacer operaciones
18 de abril de 2018, 18:47, por Abby
no se como calcula numero s que no tienen múltiplos en comun.
26 de abril de 2018, 01:13, por Keyl a Mazariegos
Fíjese de que me pusieron 98-31 pero no le entiendo me puede explicar como lo puedo hacer
13 de junio de 2018, 01:28, por luis eduardo
buenas noches me podrian decir como descopongo el numero 17,7,58, me lo explica por favor
29 de octubre de 2018, 06:36, por Rubie
¡Muchísimas graciaaas! a quien haya publicado esta información y vídeo, nada tan bien explicado como la de este profesor, había visto, me ha sido de mucha ayuda :)
9 de noviembre de 2018, 01:30, por diego
2ab2, 4a2b ,8a2
27 de marzo de 2020, 22:09, por Abrahnny García
Necesito calcular la cifra mínimo común múltiplo de
828; 184 Y 200
Y nose como no puedo necesito ayuda quien me ayuda por favor
28 de marzo de 2020, 08:52, por dani
Haz clic en el siguiente enlace, introduce los números y la web te lo va calculando paso a paso:
https://matematicasies.com/Calcular...
11 de mayo de 2021, 02:44, por MARIA VITORIA
esta muy bueno este ejemplo gracias