Calcular dominio de una función 4081

dominioEjercicios_Resueltosfunciones

Calcula el dominio de las siguientes funciones:
 a) f(x) = \frac{1}{x}
 b) f(x) = x^2+3x-10
 c) f(x) = 2x^3-14x^2-2x+12
 d) f(x) = \frac{2x-1}{x+3}
 e) f(x) = \frac{x^3-5x^2+6x}{x^2-5x}
 f) f(x) = \frac{x^2+5x-6}{x^5-5x^3+4x}
 g) f(x) = 3^{2x-5}
 h) f(x) = log (4x-8)
 i) f(x) = \sqrt{2x-6}
 j) f(x) = \sqrt[4]{x^2-5x+6}

SOLUCIÓN

 a) Dom(f) = R - \{0\}
 b) Dom(f) = R (por ser polinómica)
 c) Dom(f) = R (por ser polinómica)
 d) Dom(f) = R - \{-3\}
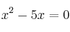
 e) f(x) = \frac{x^3-5x^2+6x}{x^2-5x}
El dominio de una función racional es todo R excepto los valores que anulan el denominador. Para calcularlos igualamos el denominador a cero:
x^2-5x=0 Las soluciones de la ecuación anterior son x=0 y x=5. Por tanto el dominio es:
Dom(f) = R - \{0,5\}
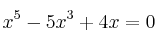
 f) f(x) = \frac{x^2+5x-6}{x^5-5x^3+4x}
El dominio de una función racional es todo R excepto los valores que anulan el denominador. Para calcularlos igualamos el denominador a cero:
x^5-5x^3+4x=0 Las soluciones de la ecuación anterior son x=0 ; x=2 , x=-2 ; x=1 ; x=-1 . Por tanto el dominio es:
Dom(f) = R - \{0,2,-2,1,-1\}
 g) Dom(f) = R (por ser exponencial)
 h) f(x) = log (4x-8)
4x-8>0 \rightarrow 4x>8 \rightarrow x>2
Dom(f) = (2, +\infty)
 i) f(x) = \sqrt{2x-6}
2x-6 \geq 0 \rightarrow 2x \geq6 \rightarrow x \geq 3
Dom(f) = [3, +\infty)
 j) f(x) = \sqrt[4]{x^2-5x+6}
Se trata de una función irracional (con raíz par). El dominio son todos los números que verifiquen que el radicando sea mayor o igual que cero
x^2-5x+6 \geq 0
Estamos ante una inecuación de segundo grado. Para resolverla podemos representar la parábola y=x^2-5x+6 y ver qué valores están por encima del eje horizontal. Obtendremos como solución (-\infty,2] \cup [3, +\infty). Por tanto el dominio es:
Dom(f) = (-\infty,2] \cup [3, +\infty)

Comentar el ejercicio