Calcular derivada
Calcula la derivada de la función

SOLUCIÓN
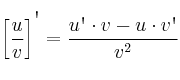
Siempre que tengamos que derivar una fracción debemos aplicar la fórmula de la derivada de un cociente
![\left[ \frac{u}{v} \right]^{\textsc{\char13}} = \frac{u\textsc{\char13}\cdot v - u\cdot v\textsc{\char13}}{v^2} \left[ \frac{u}{v} \right]^{\textsc{\char13}} = \frac{u\textsc{\char13}\cdot v - u\cdot v\textsc{\char13}}{v^2}](local/cache-TeX/94380ea3c255d6338653845e840977f0.png)
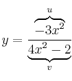
En nuestro ejemplo u y v serían:

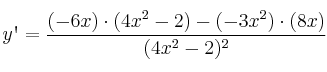
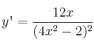
Entonces la derivada sería:

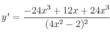
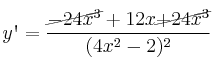
Si el ejercicio nos pidiese simplificar, quitaríamos paréntesis en el numerador (dejando el denominador como está)


