Matrices, Determinantes y Sistemas

Matrices, Determinantes y Sistemas - 2º Bach. Ciencias

Sean las matrices
 A =
\left(
\begin{array}{cc}
     \alpha & 1
  \\ - \alpha & 3
\end{array}
\right)

 B =
\left(
\begin{array}{ccc}
     1 & 3 & 1
  \\ -1 & 4 & 2
\end{array}
\right)

 a) Calcula los valores de \alpha para los que la matriz inversa de A es \frac{1}{12}A
 b) Para \alpha=-3, determina la matriz X que verifica la ecuación A^tX=B , siendo A^t la matriz traspuesta de A.

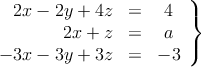
Considera el sistema de ecuaciones
\left.
\begin{array}{rcc}
2x-2y+4z & = & 4 \\
2x + z & = & a \\
 -3x -3y+ 3z & = & -3 
\end{array}
\right\}

 a) Discútelo según los valores del parámetro a
 b) Resuélvelo cuando sea posible

Sean A y B dos matrices cuadradas de orden 3 cuyos determinantes son |A|=\frac{1}{2} y |B|=-2. Halla:

 a) |A^3|
 b) |A^{-1}|
 c) |-2A|
 d) |AB^t|
 e) rango(B)

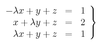
Dado el sistema de ecuaciones lineales
\left.
\begin{array}{rcc}
 - \lambda x + y+ z & = & 1 \\
x + \lambda y +z & = & 2 \\
\lambda x + y+ z & = & 1
\end{array}
\right\}

 a) Clasifica el sistema según los valores del parámetro \lambda
 b) Resuelve el sistema para \lambda = 0

Dada la matriz
 A =
\left(
\begin{array}{cc}
     \lambda +1 & 0
  \\ 1 & -1
\end{array}
\right)

 a) Determina los valores de \lambda para los que la matriz A^2+3A no tiene inversa.
 b) Para \lambda =0, halla la matriz X que verifica la ecuación AX + A = 2I, siendo I la matriz identidad de orden 2.

Considera las matrices
A = \left(
\begin{array}{ccc}
1 & 2 & 0 \\
0 & 1 & 2 \\
1 & 2 & 1 
\end{array}
\right) \qquad B = \left(
\begin{array}{cc}
0 & 1 \\
1 & 0  
\end{array}
\right) \qquad C = \left(
\begin{array}{ccc}
 -1 & 2 & 0 \\
1 & 1 & 2  
\end{array}
\right)
Determina, si existe, la matriz X que verifica AXB = C^t, siendo C^t la matriz traspuesta de C

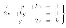
Considera el sistema de ecuaciones
\left.
\begin{array}{ccccc}
x &+ y&+ kz & = & 1 \\
2x& + ky & &= & 1 \\
 &y&+ 2z & = & k
\end{array}
\right\}

 a) Clasifica el sistema según los valores del parámetro k
 b) Resuélvelo para k=1
 c) Resuélvelo para k=-1

Considera las matrices


A =
\left(
\begin{array}{ccc}
     1 & 0 & 1
  \\ 1 & 1 & 0
  \\ 0 & 0 & 2
\end{array}
\right)
y
B =
\left(
\begin{array}{ccc}
     -1 & 1 & 1
  \\ 1 & -1 & 1
  \\ 0 & 0 & -1
\end{array}
\right)

 (a) Halla, si es posible, A^{-1} y B^{-1}
 (b) Halla el determinante de A B^{2013} A^t siendo A^t la matriz traspuesta de A
 (c) Calcula la matriz X que satisface AX - B = AB

Considera las siguientes matrices
A=\left(
\begin{array}{ccc}
     0 & 0 & 1
  \\ 0 & -1 & 0
  \\ 1 & 0 & 0
\end{array}
\right) \qquad 
B=\left(
\begin{array}{ccc}
     a & b & c
  \\ 0 & 1 & 0
  \\ -1 & 0 & 0
\end{array}
\right)

 a) Determina, si existen, los valores de a, b y c para los que las matrices A y B conmutan
 b) Calcula A^2, A^3, A^{2017} y A^{2018}
 c) Calcula, si existe, la matriz inversa de A

Considera el siguiente sistema de ecuaciones lineales

\left\{
\begin{array}{lllll}
     x &+y & +mz & = & m^2
  \\  & y & -z & = & m
  \\ x &+my & +z & = & m
\end{array}
\right.

 a) Discute el sistema según los valores del parámetro m
 b) Resuélvelo para m=1. Para dicho valor de m, calcula, si es posible, una solución en la que z=2