04 - Determinación y ecuaciones del plano
Podemos determinar un plano en el espacio de tres maneras distintas:
– Tres puntos no alineados
– Un punto y dos vectores directores
– Un punto y el vector normal al plano
Ecuaciones del plano
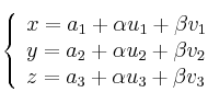
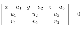
Partimos de un punto
por el que pasa y dos vectores directores
y ![]()
Ecuación vectorial
![]()
Ecuaciones paramétricas

Ecuación implícita o general

De donde se obtiene una ecuación del tipo:
![]()
De la ecuación anterior se puede obtener el vector normal al plano