04 - Ángulo de dos vectores
Ángulo de dos vectores en el espacio
La fórmula del producto escalar

nos permite averiguar el ángulo que forman dos vectores, despejando el coseno:

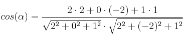
– Ejemplo: Halla el ángulo que forman los vectores
y ![]()
Si llamamos
al ángulo que forman ambos vectores, tendremos:



Usamos la calculadora y vemos que ![]()