Funciones, Derivadas e Integrales
(245) ejercicios de Matemáticas PAU Andalucía
(39) ejercicios de Matemáticas II — Análisis (Funciones, Continuidad, Límites, Derivadas e Integrales)
Se desea construir un depósito cilíndrico cerrado de área total igual a
. Determina el radio de la base y la altura del cilindro para que este tenga volumen máximo.
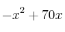
En una empresa los ingresos (en euros) dependen de la edad. Si la edad, x, es de 18 a 50 a ños, los ingresos vienen dados por la fórmula
, mientras que para edades iguales o superiores a 50 años los ingresos están determinados por la expresión,

Calcula cuál es el máximo de los ingresos y a qué edad se alcanza.
Se sabe que la función
definida por
![]()
tiene extremos relativos en (0,0) y en (2,2). Calcula a,b,c,d
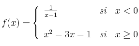
Sea
la función definida por

– a) Estudia la continuidad y dervabilidad
– b) Determina sus asíntotas y sus extremos relativos
– c) Esboza la gráfica de f
De entre todos los rectángulos cuya área mide
, determina las dimensiones del que tiene diagonal de menor longitud