Matrices, Determinantes y Sistemas
(245) ejercicios de Matemáticas PAU Andalucía
(66) ejercicios de Matemáticas II — Álgebra (Matrices, Determinantes y Sistemas)
Álvaro, Marta y Guillermo son tres hermanos. Álvaro dice a Marta: si te doy la quinta parte del dinero que tengo, los tres hermanos tendremos la misma cantidad. Calcula lo que tiene cada uno si entre los tres juntan 84 euros.
– (a)Sabiendo que la matriz

tiene rango 2, ¿cuál es el valor de
?
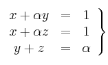
– (b) Resuelve el sistema de ecuaciones

Determina
y
sabiendo que el sistema de ecuaciones

tiene al menos dos soluciones distintas.
Sabiendo que
,
calcula, indicando las propiedades que utilices, los siguientes determinantes:
(a) 
(b) 
(c) 
Se sabe que el sistema de ecuaciones

tiene una única solución.
– (a) Prueba que
– (b) Halla las soluciones del sistema