Matrices, Determinantes y Sistemas
(245) ejercicios de Matemáticas PAU Andalucía
(66) ejercicios de Matemáticas II — Álgebra (Matrices, Determinantes y Sistemas)
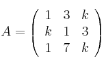
Dada la matriz

– (a) Estudia el rango de
en función de los valores del parámetro
.
– (b) Para
, halla la matriz inversa de
.
– (a) Determina razonadamente los valores del parámetro
para los que el siguiente sistema de ecuaciones tiene más de una solución:

– (b) Resuelve el sistema anterior para el caso
y para el caso
.
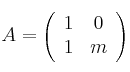
Considera la matriz

– a) Halla los valores del parámetro
para los que el rango de A es menor que 3
– b) Estudia si el sistema
tiene solución para cada uno de los valores de m obtenidos en el apartado anterior.
Resuelva el siguiente sistema de ecuaciones para ls valores de
que lo hacen compatible:

– (a) Calcula el valor de
para el que la matriz

verifica la relación
y determina
para dicho valor de ![]()
– (b) Si
es una matriz cuadrada que verifica la relación
, determina la expresión de
en función de
y de
.